时间:2018-06-23 09:16
人气:
作者:admin
在开始新设计时,首先需要决定的参数是带宽。带宽将提供设计方向,并允许设计人员开始创作成功之路。基本上有三种类型的前端部可供选择:基带,带通或超奈奎斯特(有时也被称为窄带和/或子采样-基本上不使用的1个第一奈奎斯特区),和宽带,如图1所示。应用程序确定应该应用哪个前端。

图1.基带与带通与宽带的关系,FSAMPLE = 200 MSPS。
基带设计需要从直流(或低kHz或MHz区域)到转换器奈奎斯特的带宽。就相对带宽而言,假设采样速率为200 MSPS,这意味着大约100 MHz或更低。这些设计可以采用放大器或变压器/巴伦。
带通设计意味着转换器带宽的一小部分(即
宽带设计通常是指那些需要它的设计。如转换器所提供的带宽一样多,用户将会像吸管一样喝水!这些可能是最具挑战性的前端设计,因为它们具有三种最宽的带宽。如果设计要求通带上的0.1 dB平坦度,则更具挑战性。这些应用需要直流或低kHz / MHz区域至+ GHz区域。这些类型的设计通常使用宽带平衡 - 不平衡转换器耦合到转换器。
带宽注意事项
术语“带宽”在工程上大致松散,取决于应用程序,它可能意味着某个设计者的观点与另一个人的观点完全不同。在本文中,转换器的全部功率带宽与转换器的可用或采样带宽不同。全功率带宽是转换器准确获取信号以及内部前端正确安置所需的带宽。在大多数情况下,转换器的采样带宽目标在大约两个奈奎斯特区内拨入。变频器的特点通常在于其交流频率规格。
设计人员选择转换器指定区域外的IF并不是一个好主意,因为交流性能结果在系统中会有很大差异,尽管转换器数据手册中列出的额定分辨率和性能,或者显示的全功率带宽要大得多(可能2×)比转换器本身的采样带宽。示例带宽是设计的核心。所有设计都应避免使用部分或全部额定全功率带宽的最高频率部分 - 这样做会导致动态性能(SNR / SFDR)下降。要确定高速模数转换器的采样带宽,请参考数据手册或应用支持,因为有时不会特别给出示例带宽。通常情况下,数据手册已经指定甚至列出了生产测试的频率,以确保在转换器的采样带宽内提供性能。但是,需要详细说明和定义业界对这些带宽术语的解释。
了解转换器带宽和精度
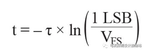
所有ADC都具有建立时间不准确性。请记住,转换器的内部前端必须有足够的带宽(BW)来准确采样信号。否则,错误的积累将会大于上述情况。通常,ADC的内部前端必须在采样时钟周期(0.5 / f s,其中f s =采样频率)的半个周期内稳定下来,以提供准确表示要采集的模拟信号的入界。因此,对于采用2.5 GSPS和满量程输入范围(V FS)为1.3 V pp 的12位ADC采样,可以通过以下瞬态等式开始导出所需的全功率带宽(FPBW):

解决t:

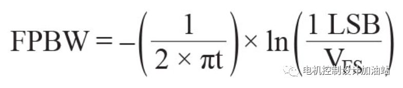
用τ= 1 /(2×π×FPBW)代替一个时间常数,并求解FPBW:

令t = 0.5 / f s。这是抽样周期为1 / f s的样本需要的时间:

这将产生ADC内部前端FPBW所需的最小带宽。转换器的内部前端需要这个带宽量来稳定在1 LSB以内并适当地采样模拟信号。它需要通过几个时间常数才能达到这种类型ADC的1 LSB精度,其中一个时间常数等于24 ps,或者:

要了解LSB大小的ADC满量程范围所需的时间常数数量,需要查找%满量程误差或V FSE。或者,1 LSB = V FS /(2N),其中N =比特数; 要么

请参见表1,其中显示了不同分辨率转换器与每个位的数量,LSB大小和V FSE的细分情况。
表1.转换器分辨率细分

通过绘制欧拉数或eτ,可以开发一个图表,以便通过每个时间常数的通过来显示相对误差。在图2中,可以发现,12位ADC示例需要8.4个时间常量才能在1 LSB内适当调整。

图2.转换器采样精度与时间常数的关系:ADC需要的时间常数,以便在½LSB范围内精确求解。
该分析允许设计人员估算转换器可以处理的最大模拟输入频率或采样带宽,并且仍然在1 LSB的误差范围内稳定下来。除此之外,ADC不能准确表示信号。从而:

请记住,这代表了一种最佳情况,并且假设是针对单极模型ADC前端。并非所有的实用转换器都是这样的,但这是一个很好的起点。
例如,所描述的模型有效至多12位。然而,对于14位或16位以上的应用,应该使用二阶模型,因为微妙的影响可能使稳定时间超出预测的一阶模型。
作者:Rob Reeder
Rob Reeder是ADI公司在北卡罗莱纳州格林斯伯勒的高速转换器和射频应用部门的高级系统应用工程师。他发表了大量关于转换器接口,转换器测试和模拟信号链设计的文章,以供各种应用使用。之前,Rob曾担任航空航天和国防部门的应用工程师五年,主要负责各种雷达,电子战和仪表应用。此前他曾在高速转换器产品线中工作了九年。他之前的经验还包括ADI Multichip Products Group的测试开发和模拟设计工程,他在那里为空间,军事和高可靠性应用设计了五年的模拟信号链模块。Rob获得了他的MSEE和BSEE 来自伊利诺斯州DeKalb的北伊利诺伊大学,分别于1998年和1996年。当罗布不是在深夜撰写论文或在实验室里写作电路时,他喜欢在健身房里闲逛,听techno音乐,从旧货盘上建造家具。
上一篇:在实际电路中选择电容的技巧
龙腾半导体SGT MOSFET LSGT085R018在智慧农业无