时间:2018-04-16 09:23
人气:
作者:admin
一个逐次逼近寄存器 (SAR) 模数转换器 (ADC) 通常需要一个驱动器来驱动其模拟输入,以获得所需的精度效果。但是在较低数据吞吐量和较低分辨率应用中,你也许不需要驱动器。让我们来看一看SAR ADC的采样过程和模拟输入结构来了解驱动器的要求。
SAR ADC的模拟输入是一个采样开关、一个电阻器和采样电容器的组合。图1显示针对一个SAR ADC的模拟输入结构。

图1
采样开关在一定的时间周期tACQ(采集时间)内关闭以获得输入信号,并在转换过程期间打开。采样相位期间,通过在模拟输入源和采样电容器之间传递电荷将采样电容器充电至输入电压。对于分辨率为N位的ADC,在采集时间内,采样电容器上的电压应该稳定在 (VIN ± ½ LSB) 范围内。
在这里:
VIN是需要被采样的模拟输入电压
1 LSB是针对N位ADC的LSB大小(单位伏特)
通常情况下,最好在SAR ADC的输入前面放置一个RC滤波器。这样做是为了在采样相位期间为采样电容器充电,并且减少在这个期间模拟源上出现的电压毛刺脉冲。图2显示了一个用于由模拟源驱动的SAR ADC模拟输入的简化电路。

图2
此模拟源在采样瞬间会出现一个电压毛刺脉冲。
通常将CFLT的值选择为采样电容器电容值的20到60倍。
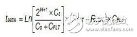
模拟源的输出阻抗在采样相位期间的输入电压稳定方面发挥了关键作用。输入电压稳定所需要的时间 (tsettle) 随着模拟源输出阻抗的增加而增加。

要实现N位的精度,tsettle ≤ tacq。
下方图3中的波形显示了吞吐率100KSPS的SAR ADC在使用不同的ROUT所获得的稳定时间。

图3
图3显示出输出阻抗1500欧姆的模拟源(实例I)不能在ADC的采样时间内稳定输入信号,但是输出阻抗为500欧姆的模拟源(实例II)能够满足ADC的采样时间要求。所以,实例I需要一个驱动器在SAR ADC的采集时间内稳定输入信号,而实例II不需要。
采集时间通常取决于SAR ADC的吞吐率,吞吐率的减少会导致更高的采集时间。对于实例I也一样,在吞吐率少于100kSPS的情况下,也许就不需要驱动器了。
结论:在较低吞吐率时,较低分辨率SAR ADC的驱动不需要放大器。随着SAR ADC分辨率的增加,稳定时间也增加,而随着吞吐率减少,采集时间减少,所以分辨率和吞吐率较高的SAR ADC需要一个驱动器来减少稳定时间并实现所需的精度。
龙腾半导体SGT MOSFET LSGT085R018在智慧农业无