时间:2018-03-21 08:13
人气:
作者:admin
欢迎来到信号链基础知识系列,这些是描述模拟信号链如何运行的文章。在本文中,我们所探讨的话题包括模拟信号处理以及支持这些功能所必须的器件。欢迎多提保贵意见和建议,他们甚至有可能成为未来探讨的话题。
基本的构建块--运算放大器Block
信号链最基本的构建块是运算放大器 (op amp)(请参见图 1)。最简单的运算放大器其实就是一个具有无限输入阻抗差动输入的器件和一个具有趋向于无穷大增益的压控电压源。仅仅依靠这些特性的作用微乎其微,但是在使用了各种反馈技术以后,其就变成一款极为有用的器件了。

图 1 理想的运算放大器
从该电路中可以看到的理想的运算放大器的传输函数为:

如果 Aol(开环增益)的值非常大,那么该电路几乎没有什么价值可言。一项有关产品数据规范的调查研究表明,在生产过程中我们无法对 Aol 的绝对值进行严格控制。不过可以通过添加负反馈来解决该问题,如图 2 所示。

图 2 具有反馈功能的理想的运算放大器
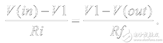
由于在输入引脚上可以没有电流,因此流经 Ri 的电流必须要与流经 Rf 的电流相等。用方程式表示如下:

将两项合并、设置 V2=0 并假设开环增益非常大,从而得出标准闭环增益 (Acl) 方程式:

请注意,从第一个方程式可以看出运算放大器对输入电压之间的差进行了放大。只要运算放大器在线性模式下运行,则输入引脚就会处于相同的电压(请参见图 3)。

图 3 反相运算放大器结构的标准电路图
对于非反相结构而言,该增益方程式的结果略有不同(请参见图 4)。

图 4 非反相运算放大器的结构
如果 Aol 的值非常大,那么增益方程式则简化为:

传输函数的完整开发可以在下方相关的工具选项中看到。该函数开发还适用于 Aol 小于无穷大的情况。
首先了解这一基本构建块可以完成大量模拟计算电路的配置工作。在未来的文章中,将多次用到此处产生的这三个基本概念:即 Aol 值非常大时的增益方程式、限定 Aol 值时的增益方程式以及运算放大器对输出的驱动,如将输入引脚保持在相同的电压上。
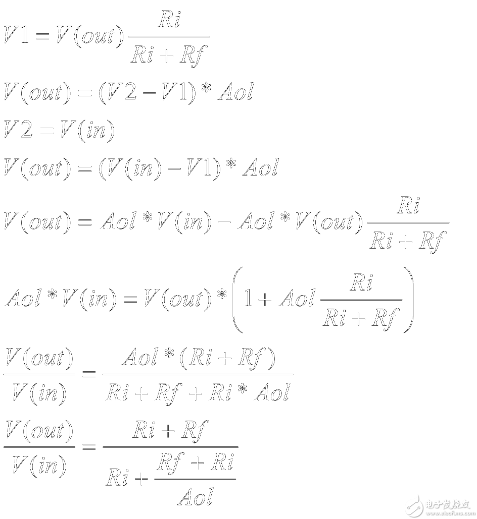
工具选项:闭环增益方程式的开发
对于非反相结构而言:

当 Aol 值非常大时,则该方程式则简化为:

这是理想条件下的闭环增益方程式,其中 Aol 值非常大。当开环增益小于理想条件时,实际的闭环增益方程式将变为:

.
由于 Aol 值将总是小于无穷大,因此在增益方程式中总会存在一些误差。通常, Aol 值可以足够大,从而该误差可以忽略不计。
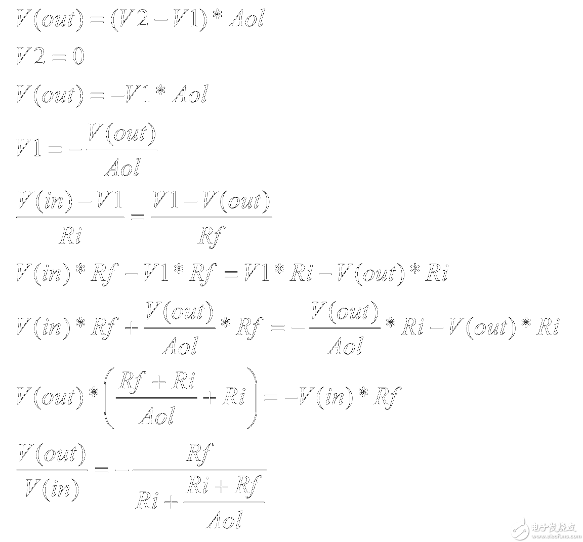
反相条件下相似的函数开发:

当 Aol 值非常大时,该方程则简化为:

这是理想条件下的闭环增益方程式,其中 Aol 值非常大。当开环增益小于理想条件时,实际的闭环增益方程式将变为:

龙腾半导体SGT MOSFET LSGT085R018在智慧农业无