时间:2017-10-26 22:28
人气:
作者:admin
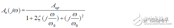
1 二阶压控低通滤波器
二阶压控低通滤波器电路如图所示,由R1、C1 及R2、C2 分别构成两个一阶低通滤波器,但C1 接输出端,引入电压正反馈,形成压控滤波器。

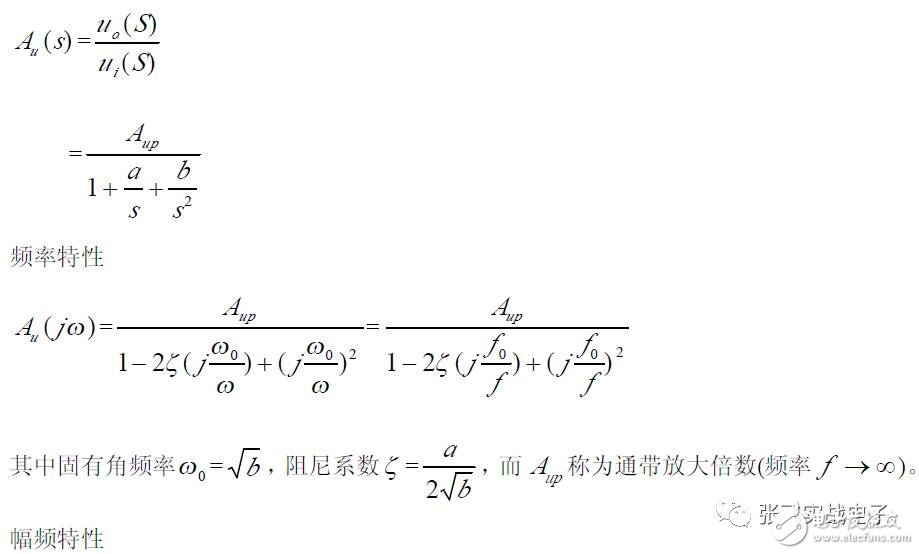
(1) 传递函数

(2) 频率特性

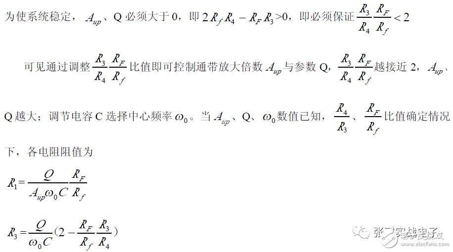
可见该低通滤波器特点是阻尼系数ζ 由电阻R1、R2,C1、C2 的比决定;而固有频率ω0与R1、R2、C1、C2 具体数值有关,即ω0与ζ 独立可调,互不影响。
(3) 参数选择
为方便参数匹配,考虑到标称电容种类较少,一般选择C1=C2=C。通过选择不同的R1、R2 满足特定的固有频率ω0 、ζ 。




2单位增益二阶压控低通滤波器
对于二阶压控低通滤波器来说,当通带放大倍数Aup =1(单位增益)时,图所示电路变为图所示,其中RF=R1+R2。

(1) 基本关系



(4) 参数选择
在固有频率ω0 、阻尼系数ζ 已知情况下,设计步骤如下:

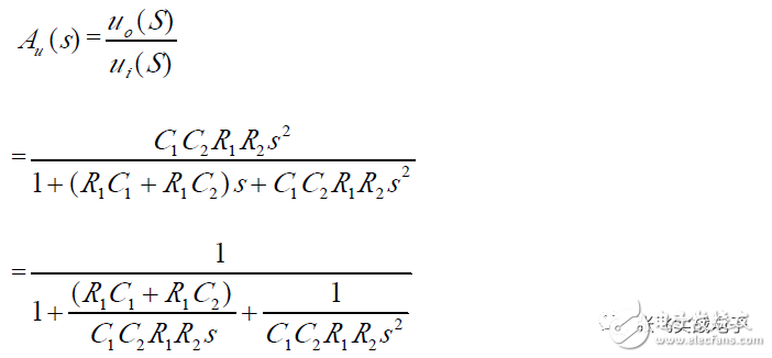
3二阶低通滤波器

(1) 传递函数

(2) 频率特性


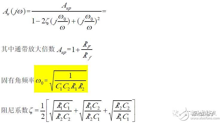
4无限增益多路反馈低通滤波器

(1) 传递函数


(2) 频率特性

二阶高通滤波器传递函数的一般形式





1二阶高通压控滤波器

(1) 传递函数




2通带增益Aup为1 的二阶压控高通滤波器
当通带放大倍数Aup=1 时,即运放按电压跟随器连接,如图所示。

(1) 传递函数

(2) 频率特性



3无限增益多路反馈高通滤波器
该电路可以工作双电源状态,也可以工作在单电源中,因此得到了广泛应用。

(1) 传递函数


(2)设计步骤
第一,根据截止频率范围,初步确定C3;根据通带放大倍数Aup确定C1(注意:电容C1、C3 一定取标称值)。
第二,在C1、C3 确定情况下,在固有频率ω0 、阻尼系数ζ 已知情况下,由下面解析式确定电阻R1、R2 的阻值。


3二阶高通滤波器

(1) 传递函数

(2) 频率特性


带通滤波器(BPF)的特征是通带内输出信号幅度与频率无关,而当f< fp1或f>fp2时输出信号很快衰减,幅频特性如图所示。








1二阶带通滤波器
简单二阶带通滤波器电路如图所示,其中R1、C1 构成了低通滤波器,C2、R3 构成了高通滤波器。

(1) 传递函数

(2) 频率特性


(3) 设计步骤
下面通过具体实例讲解这类带通滤波电路设计过程。





该电路所需元件数量较少,可双电源工作,也可单电源工作(同相端接1/2Vcc 偏置电位),因此在单电源系统中得到广泛应用。只是品质因素Q 不能太高,在带宽B 较大(即Q 值较小)的带通滤波电路中几乎均采用该电路形式。
2高 Q值二阶带通滤波器
高Q 值二阶带通滤波器电路如图所示,该电路可以双电源工作,也可以单电源工作,在单电源系统中使用方便。
由于Q 值可以取得较大,因此特别适合作为点频率滤波器

(1) 传递函数

(2) 频率特性



(3) 设计步骤
下面通过具体实例讲解这类带通滤波电路设计过程。





3由双运放构成的高 Q值 BPF
由双运放构成的具有高Q 值的BPF(简称DABPF)电路如图所示。由于该电路所用元件不多,在通带放大倍数Aup固定等于2 情况下,可以获得很高的Q 值,因此也是一种常用的BPF 电路。

(1) 传递函数


(2) 频率特性
与二阶BPF 传递函数标准式比较,即可获得如下参数:

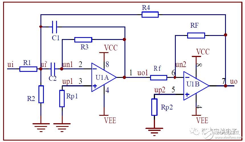
4二阶压控带通滤波器
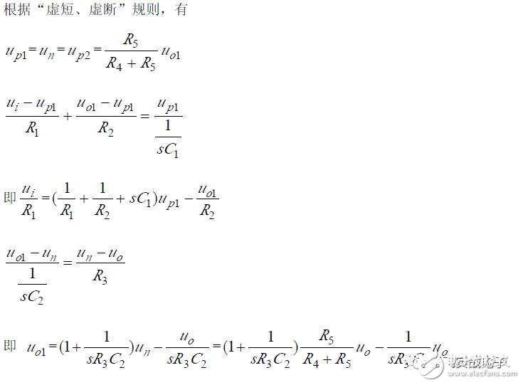
二阶压控带通滤波器如图所示,其中R1、C1 构成了低通滤波,R2、C2 构成了高通滤波,通过电压R3 引入电压正反馈,形成了压控带通滤波器。

(1) 传递函数

为使系统稳定,分母中一次项系数必须>0,即3−Auf>0,换句话说Auf<3。
(2) 幅频特性

(3) 设计步骤

在高通、带通滤波器中,不要求静态时运放输出为0,可以选择单电源工作方式。在低通、带阻滤波器电路中,属于DC 到AC 的直流放大电路,一般要求电路工作在双电源状态。
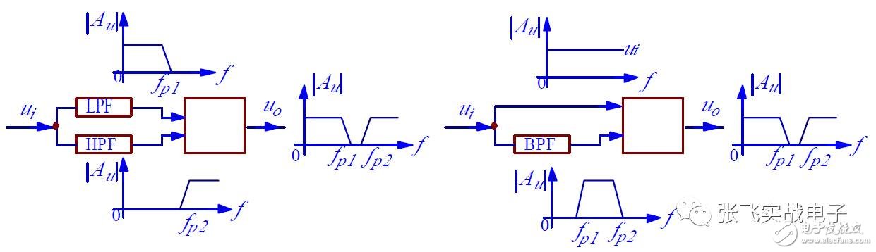
带阻滤波器带阻滤波器(BEF)特性与带通滤波器刚好相反,在 fp1~ fp2之间信号不能通过,主要用于抑制某频段内的信号。



也可以用输入信号ui 减去BPF 电路输出信号u0方式获得,如图(b)所示。用减法运算获得的BEF 滤波器特性与构成它的BPF 滤波器相同,即中心角频率ω0 、品质因素Q 与BPF滤波器相同。因此,这类BEF 滤波器设计容易,唯一缺点是需要多一个运放实现信号的减法运算。
例如由简单二阶反相输入BPF 滤波器通过减法方式形成的BEF 电路如图所示。根据BPF滤波器特性,当ω =ω0时,BPF滤波器输出信号



利用减法生成BEF 时,一般只用简单二阶BPF,而不用高Q 值的BPF,原因是电路要求匹配的参数多,调试困难。
用求和运算BEF 实用电路多采用双T 型网络有源滤波器,如图所示。

(1) 传递函数


(2) 频率特性

状态可调滤波器有反相输入和同相输入两种。
1 反相输入状态可调滤波器

(1) 基本关系


(2) 传递函数




2同相输入状态可调滤波器

(1) 基本关系

(2) 传递函数





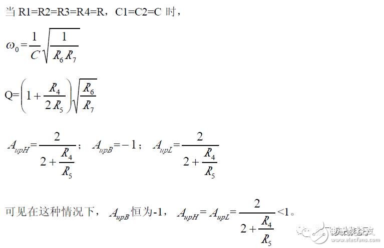
可见同相输入状态可调滤波器uo1、uo2、uo3 也分别是二阶高通、带通、低通滤波器的输出端,且它们固有频率ω0、Q 值相同,只是通带放大倍数AupH、AupB、AupL不同。
(3) 参数选择

3状态可调滤波器形成的带阻滤波器
根据带阻滤波器可由低通滤波器和高通滤波器求和获得特征,因此只要将状态可调滤波器的高通滤波输出与低通滤波输出送运放求和(反相和或同相和均可)即可获得带阻滤波器,如图所示。

由于状态可调滤波器中低通、高通滤波器通带放大倍数相同,因此在BEF 滤波器中取R8=R9。
这类滤波器已集成化,品种很多。有些还可以通过控制内部电子开关,选择不同的电容,实现可编程选择。
龙腾半导体SGT MOSFET LSGT085R018在智慧农业无