时间:2017-10-27 08:34
人气:
作者:admin
1.1 基尔霍夫定律是阐明集总参数电路中流入和流出节点的各电流间以及沿回路的各段电压间的约束关系的定律。1845年由德国物理学家G.R.基尔霍夫提出。集总参数电路指电路本身的最大线性尺寸远小于电路中电流或电压的波长的电路,反之则为分布参数电路。基尔霍夫定律包括电流定律和电压定律。
1.2 基尔霍夫定律的内容:一个辐射体向周围发射辐射能时,同时也吸收周围辐射体所发射的能量。在平衡辐射状态下,该物体的发射总能量等于它的吸收总能量。辐射体在温度T、波长为λ的总能量与吸收本领的比值等于处在平衡辐射态时吸收总能量,它与物体的性质无关,而是波长和温度的普适函数。
1.3 基尔霍夫定律的结论:一个发射本领大的辐射体,它的吸收本领也一定大。当吸收系数为1时,表示物体吸收了全部发射到它上面辐射能量,是一个理想的辐射体。只有黑体才能够在任何温度下及在任何波长上吸收本领恒为1 。一般辐射体的吸收本领总是小于黑体的,即吸收系数小于1。
2 在基尔霍夫定律中的几个概念:
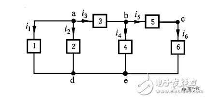
1.1 支路:一个二端元件视为一条支路,其电流和电压分别称为支路电流和支路电压。下图所示电路共有6条支路

1.2 结点:电路元件的连接点称为结点。
图示电路中,a、b、c点是结点,d点和e点间由理想导线相连,应视为一个结点。该
电路共有4个结点。

1.3 回路:由支路组成的闭合路径称为回路

1.4 网孔:将电路画在平面上内部不含有支路的回路,称为网孔。
图示电路中的{1,2}、{2,3,4}和{4,5,6}回路都是网孔

3 基尔霍夫定律的内容:
1.1 基尔霍夫电流定律(KCL)
基尔霍夫电流定律又称节点电流定律(KCL) 任一集总参数电路中的任一节点,在任一瞬间流出(流入)该节点的所有电流的代数和恒为零,即就参考方向而言,流出节点的电流在式中取正号,流入节点的电流取负号。基尔霍夫电流定律是电流连续性和电荷守恒定律在电路中的体现。它可以推广应用于电路的任一假想闭合面。
即对任一节点有:∑i =0 。
1.2 基尔霍夫电压定律(KVL)
基尔霍夫电压定律(KVL)任一集总参数电路中的任一回路,在任一瞬间沿此回路的各段电压的代数和恒为零,即电压的参考方向与回路的绕行方向相同时,该电压在式中取正号,否则取负号。基尔霍夫电压定律是电位单值性和能量守恒定律在电路中的体现。它可推广应用于假想的回路中。
即对任一闭合回路有:∑u =0 。
4 基尔霍夫定律的应用:
KVL可以从由支路组成的回路,推广到任一闭合的结点序列,即在任一时刻,沿任一闭合结点序列的各段电压(不一定是支路电压)的代数和等于零。对图l-11电路中闭合结点序列abca和abda列出的KVL方程分别为:

4.1KVL定律的一个重要应用是:
4.2根据电路中已知的某些支路电压,求出另外一些支路电压,即
集总参数电路中任一支路电压等于与其处于同一回路(或闭合路径)的其余支路电压的代数和,即

由支路组成的回路可以视为闭合结点序列的特殊情况。沿电路任一闭合路径(回路或闭合结点序列)各段电压代数和等于零,意味着单位正电荷沿任一闭合路径移动时能量不能改变,这表明KVL是能量守恒定律的体现。
综上所述,可以看到:
4.2.1KCL对电路中任一结点(或封闭面)的各支路电流施加了线性约束。
4.2.2 KVL对电路中任一回路(或闭合结点序列)的各支路电压施加了线性约束。
4.2.3 KCL和KVL适用于任何集总参数电路、与电路元件的性质无关。
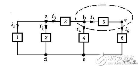
KCL不仅适用于结点,也适用于任何假想的封闭面,即流出任一封闭面的全部支
路电流的代数和等于零。例如对图示电路中虚线表示的封闭面,写出的KCL方程


结点的KCL方程可以视为封闭面只包围一个结点的特殊情况。根据封闭面KCL对支路电流的约束关系可以得到:流出(或流入)封闭面的某支路电流,等于流入(或流出)该封闭面的其余支路电流的代数和。由此可以断言:当两个单独的电路只用一条导线相连接时(图l-10),此导线中的电流必定为零。

在任一时刻,流入任一结点(或封闭面)全部支路电流的代数和等于零,意味着由全部支路电流带入结点(或封闭面)内的总电荷量为零,这说明KCL是电荷守恒定律的体现
5 在解题方法上的应用
以图1所示电路为例:来说明基尔霍夫定律在几种解题方法上的应用,此电路有4个节点,三个网孔,6条支路。

5.2 回路电流法:
根据电路列出方程:
E1=IⅠ(r1+R1+R2)+IⅡR1+IⅢR2
E2–E3=I1R1+IⅡ(r2+ r3+R1)-IⅡ×r3(电压定律)
E3=IⅠR2- IⅡ×r3+ IⅢ(r3+R2+R3)
以上为3个方程,联立求解,得出三个电流IⅠ、IⅡ、IⅢ,这三个电流分别为IⅠ= I1,IⅡ= I2,IⅢ= I6,然后应用电流定律可求出另外三个电流。
5.3 节点电压定律:
根据电路设a点为参考节点,列出方程:
Uao(1/r1+1/r2+1/R1)-Ubo1/R1-Uco1/r1=E2/r2+E1/r1
-Uao1/R1+Ubo(1/R1+1/R2+1/r3)-Uco1/R2=E3/r3(电流定律)
-Uao1/r1-Ubo1/R2+Uco(1/r1+1/R2+1/R3)=-E1/r1
联立求解方程得节点电压Uao、Ubo、Uco,然后根据电压定律求出各知路电流。
上一篇:钽电容反接会产生怎样的后果?
下一篇:模拟设计分析思路及硬件知识准备
龙腾半导体SGT MOSFET LSGT085R018在智慧农业无