时间:2017-10-24 11:54
人气:
作者:admin
1、电阻
电阻等效电路

图1 电阻等效电路
电阻的等效阻抗
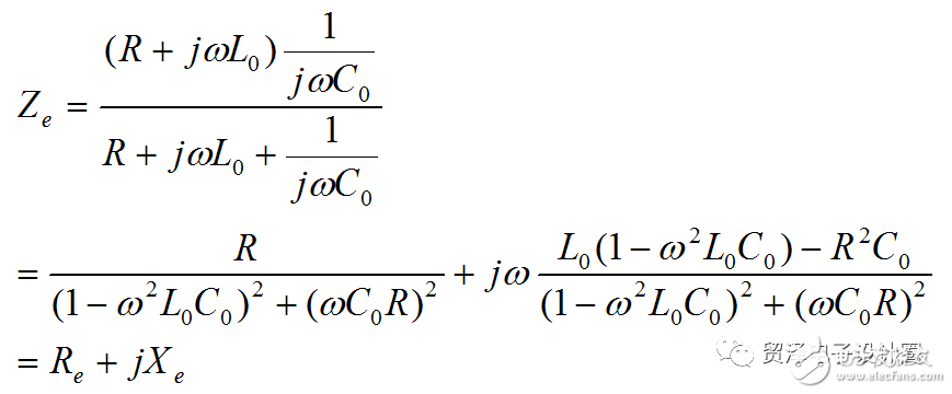
同一个电阻元件在通以直流和交流电时测得的电阻值是不相同的。在高频交流下,须考虑电阻元件的引线电感L0和分布电容C0的影响,其等效电路如图1所示,图中R为理想电阻。由图可知此元件在频率f下的等效阻抗为

上式中ω=2πf, Re和Xe分别为等效电阻分量和电抗分量,且

式 2
从上式可知Re除与f有关外,还与L0、C0有关。这表明当L0、C0不可忽略时,在交流下测此电阻元件的电阻值,得到的将是Re而非R值
2、电感
电感等效电路

图2 电感等效电路
电感的等效阻抗
电感元件除电感L外,也总是有损耗电阻RL和分布电容CL。一般情况下RL和CL的影响很小。电感元件接于直流并达到稳态时,可视为电阻;若接于低频交流电路则可视为理想电感L和损耗电阻RL的串联;在高频时其等效电路如图2所示。比较图1和图 2可知二者实际上是相同的,电感元件的高频等效阻抗可参照式 1来确定

式 3
式中 Re和Le分别为电感元件的等效电阻和等效电感。
从上式知当CL甚小时或RL、CL和ω都不大时,Le才会等于L或接近等于L。
3、电容
电容等效电路

图3 电容等效电路
电容的等效阻抗
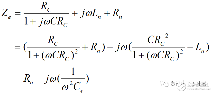
在交流下电容元件总有一定介质损耗,此外其引线也有一定电阻Rn和分布电感Ln,因此电容元件等效电路如图 3所示。图中C是元件的固有电容,Rc是介质损耗的等效电阻。等效阻抗为

式 4
式中 Re和Ce分别为电容元件的等效电阻和等效电容, 由于一般介质损耗甚小可忽略(即Rc→∞),Ce可表示为

式 5
从上述讨论中可以看出,在交流下测量R、L、C,实际所测的都是等效值Re、Le、Ce;由于电阻、电容和电感的实际阻抗随环境以及工作频率的变化而变,因此,在阻抗测量中应尽量按实际工作条件(尤其是工作频率)进行,否则,测得的结果将会有很大的误差,甚至是错误的结果。
4、二极管
功率二极管的正向导通等效电路
(1):等效电路

(2):说明:
二极管正向导通时可用一电压降等效,该电压与温度和所流过的电流有关,温度升高,该电压变小;电流增加,该电压增加。详细的关系曲线可从制造商的手册中获得。
功率二极管的反向截止等效电路
(1):等效电路

(2):说明:
二极管反向截止时可用一电容等效,其容量与所加的反向电压、环境温度等有关,大小可从制造商的手册中获得。
功率二极管的稳态特性总结
(1):功率二极管稳态时的电流/电压曲线

(2):说明:
二极管正向导通时的稳态工作点:

当Vin>>Vd时,有:

而Vd对于不同的二极管,其范围为 0.35V~2V。
二极管反向截止时的稳态工作点: Id≈0,Vd= -Vin
(3):稳态特性总结:
-- 是一单向导电器件(无正向阻断能力);
-- 为不可控器件,由其两断电压的极性控制通断,无其它外部控制;
-- 普通二极管的功率容量很大,但频率很低;
-- 开关二极管有三种,其稳态特性和开关特性不同:
-- 快恢复二极管;
-- 超快恢复,软恢复二极管;
-- 萧特基二极管(反向阻断电压降<<200V,无反向恢复问题);
-- 器件的正向电流额定是用它的平均值来标称的;只要实际的电流平均值没有超过其额定值,保证散热没问题,则器件就是安全的;
-- 器件的通态电压呈负温度系数,故不能直接并联使用;
-- 目前的 SiC 功率二极管器件,其反向恢复特性非常好。
5、MOS管
功率MOSFET的正向导通等效电路
(1):等效电路

(2):说明:
功率 MOSFET 正向导通时可用一电阻等效,该电阻与温度有关,温度升高,该电阻变大;它还与门极驱动电压的大小有关,驱动电压升高,该电阻变小。详细的关系曲线可从制造商的手册中获得。
功率MOSFET的反向导通等效电路(1)
(1):等效电路(门极不加控制)

(2):说明:
即内部二极管的等效电路,可用一电压降等效,此二极管为MOSFET 的体二极管,多数情况下,因其特性很差,要避免使用。
功率MOSFET的反向导通等效电路(2)
(1):等效电路(门极加控制)

(2):说明:
功率 MOSFET 在门级控制下的反向导通,也可用一电阻等效,该电阻与温度有关,温度升高,该电阻变大;它还与门极驱动电压的大小有关,驱动电压升高,该电阻变小。详细的关系曲线可从制造商的手册中获得。此工作状态称为MOSFET 的同步整流工作,是低压大电流输出开关电源中非常重要的一种工作状态。
功率MOSFET的正向截止等效电路
(1):等效电路

(2):说明:
功率 MOSFET 正向截止时可用一电容等效,其容量与所加的正向电压、环境温度等有关,大小可从制造商的手册中获得。
功率MOSFET的稳态特性总结
(1):功率MOSFET 稳态时的电流/电压曲线

(2):说明:
功率 MOSFET 正向饱和导通时的稳态工作点:

当门极不加控制时,其反向导通的稳态工作点同二极管。
(3):稳态特性总结:
-- 门极与源极间的电压Vgs 控制器件的导通状态;当Vgs
-- 器件的漏极电流额定是用它的有效值或平均值来标称的;只要实际的漏极电流有效值没有超过其额定值,保证散热没问题,则器件就是安全的;
-- 器件的通态电阻呈正温度系数,故原理上很容易并联扩容,但实际并联时,还要考虑驱动的对称性和动态均流问题;
-- 目前的 Logic-Level的功率 MOSFET,其Vgs只要 5V,便可保证漏源通态电阻很小;
-- 器件的同步整流工作状态已变得愈来愈广泛,原因是它的通态电阻非常小(目前最小的为2-4 毫欧),在低压大电流输出的DC/DC 中已是最关键的器件;
包含寄生参数的功率MOSFET等效电路
(1)等效电路

(2)说明:
实际的功率MOSFET 可用三个结电容,三个沟道电阻,和一个内部二极管及一个理想MOSFET 来等效。三个结电容均与结电压的大小有关,而门极的沟道电阻一般很小,漏极和源极的两个沟道电阻之和即为MOSFET 饱和时的通态电阻。
上一篇:介绍调制函数的两种建模方法
下一篇:模拟电子电路基本知识
龙腾半导体SGT MOSFET LSGT085R018在智慧农业无