全球最实用的IT互联网信息网站!
AI人工智能P2P分享&下载搜索网页发布信息网站地图
伊萌公司购买我司差示扫描量热仪,提升检测技
阅读全文2023-10-13
湃睿半导体拟推出光强-时间法激光测距套片(
御风而行,激光跟踪仪助力风电行业发展
示波器的频率响应分析应用指南
阅读全文2023-10-12
光纤供能雷电电磁脉冲电场测量系统的电路设计
日丰集团采购多台南京大展的热分析仪器
测量器具的技术性能指标
HD6001型多功能全自动振荡仪使用方法说明
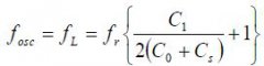
振荡频率的测量方法
频谱仪的隐藏功能与应用
替代水浸泡水法,气密性检测仪成产品防
高温热重分析仪是什么
示波器怎么看峰峰值呢?
输出过冲原因及改善措施
CPU | 内存 | 硬盘 | 显卡 | 显示器 | 主板 | 电源 | 键鼠 | 网站地图
Copyright © 2025-2035 诺佳网 版权所有 备案号:赣ICP备2025066733号 本站资料均来源互联网收集整理,作品版权归作者所有,如果侵犯了您的版权,请跟我们联系。