时间:2023-07-19 16:24
人气:
作者:admin
一、创世纪与艰辛之路:滤波天线的诞生与挑战披露
滤波天线是一种集成了滤波器功能的天线,它可以在接收或发射信号的同时实现对特定频率范围内信号的滤波处理。这种天线可以在无线通信系统中起到信号选择和抑制干扰的作用,提高了系统的性能和可靠性。是美国电气工程师Robert J. Mailloux于1980年代提出的。
虽然滤波天线的概念在1980年代被提出,但由于一些市场原因和技术问题在当年并没有广泛被运用。
技术限制:在当时的技术水平下,实现高性能的滤波器和天线的集成是一项挑战。滤波天线需要在一个物理结构内同时实现天线的辐射功能和滤波器的频率选择功能,这要求设计人员在电路设计和天线工程方面具备复杂的交叉学科知识。而且,滤波器的性能也受制于当时的材料和制造工艺。
成本和复杂性:由于滤波天线的设计和制造比传统天线更加复杂,它的成本可能较高。在
当时,许多通信系统和设备更关注降低成本和简化设计,因此滤波天线可能并不被视为优先发展的方向。
市场需求:当时的通信系统和技术还没有达到今天的复杂程度。许多通信系统使用较低频率,对于滤波天线来说并不是十分必要。因此,市场需求的缺乏也限制了滤波天线的发展。
二、成长的巨星:滤波天线在现代通信的引人瞩目与应用
当今社会中,各种移动通信设备已经成为我们生活中不可或缺的伴侣。受到无线通信技术迅猛发展的影响,小型化、轻量化、高度集成化以及多功能化已经逐渐成为现代射频电路设计的重要特征。
如今,人们对通信产品的需求已不再局限于提供交流、资讯、娱乐、搜索、电子商务和办公协作等一体化服务,同时对产品的外观形态和规格尺寸也有了全新的要求。这种趋势也导致射频前端电路的空间资源受到了无形的压缩。
射频前端架构示意图
天线和滤波器可看作射频前端构架中两个极为重要的组成部分,其搭配的状况将直接影响整个通信系统的服务性能。
其中,天线可以在电磁波的空间传播中起到接收和发射的效果。而滤波器的主要特点就是可以将传输信号中不需要的频段亦或是指定频段以外的无效区域进行分离过滤,得到通信设备所需范围的电源信号。
利用滤波器的指向性频率选择效果,可以对干扰的噪音信号进行筛除并且对指定的频谱进行系统性地分析。
二者在普通天线的射频前端框架中关联性较低,可以分开进行单独的设计,中间需要跨度射频开关、双工器和天线调节开关等器件协同调节,其复杂度和占地空间成本不可估量,滤波器所带来的插入损耗不可避免。
因而滤波器和天线的一体化设计将是未来行业发展趋势,众多学者、科研人员和研发单位已经广泛关注并开展了垂直一体化布局,将这种新兴的融合一体化设计产物称之为滤波天线(FA,Filtering Antenna)。
滤波天线兼具了传统天线稳定的带内辐射功能以及滤波器带外抑制、消除杂波的能力,可以使得整个射频前端架构的复杂性和体积尺寸大大降低,有利于实现通信系统的小型化和高集成化。
天线业务+滤波器的协同效应越明显,通信系统性能的提升度也就越高,应用前景也就会越发的清晰。
三、解密滤波天线:设计方法揭密与优缺点分析

滤波天线简要设计流程
第一种设计方法是直接级联,将具有相同阻抗的滤波器末端与天线输入端口级联,将滤波器的带通响应、高通响应、低通响应以及带阻响应代入天线的辐射响应中去。
避免了一定阻抗失配的情况发生,减少了一定的能量损耗,但是这样的设计要将2种器件单独设计,有时还需要单独设计匹配电路,不仅增加了一点过的损耗,且尺寸和重量必然增加。
第二种设计方法为等效代替法,顾名思义,就是将滤波器的最后一级谐振器用天线来代替,这样设计者在设计滤波天线时提高了灵活度,在尺寸上也有一定的减小。
但是滤波器的阶数影响着选择性。且无法消除滤波器固有的插入损耗。
下列给出带通滤波器的设计在滤波天线等效替代法与融合设计法中的应用。

带通滤波器及其相应的滤波天线等效电路
从两张图我们可以看出,二者唯一的不同就是最后一阶谐振器,滤波天线最后一阶谐振器用并联RLC代替,替换时,只需末端导纳相同即可。这样天线就具有了滤波器的滤波响应特性。
第三种方法是融合设计,在不引入滤波电路的前提下,通过增加寄生贴片、电磁耦合、堆叠技术以及增加开路/短路枝节等方法在低频以及高频产生辐射零点,实现带内辐射,带外滤波的特性,且具有小型化、集成化以及多功能化的特点。
四、探秘滤波天线的多样面貌:令人惊叹的设计实例
1、级联设计
S.Yang教授在2016年使用滤波器和天线的级联设计方式,实现了一种毫米波Vivaldi滤波天线。如下图所示该滤波天线将单独设计好的带通滤波器的输出端作为贴片天线的输入端,实现滤波器和天线的级联设计。
毫米波Vivaldi滤波天线
该滤波电路的输入端设置为50Ω,输出端的阻抗与天线的输入阻抗相同。从图可以看到,滤波电路的输出端有一个终端开路短截线,该短截线是为了调节滤波电路的输出端口与天线之间的阻抗匹配。
测试结果表明:该天线的工作频段为25.99-31.49GHz,增益为8.48dBi。
2、等效代替法
2011年,西电Wu等人采用滤波器联合设计方法设计的滤波天线如下图所示,该天线设计过程充分体现了等效替换的思想。首先,设计了一个三阶滤波器,然后将滤波器开路(去除一个端口),为了使滤波器更好的辐射,将Γ形天线取代最后一阶方形开环谐振器。

等效代替法设计的滤波天线
最终反射系数和增益曲线下图(c),天线仍然具有3个谐振模式,由于带宽比较窄,滤波器中2个开环谐振器的模式非常靠近T形天线的模式,并在其辐射频率范围内,所以展现出来的增益比较平坦。但是天线的增益在频段边沿的滚降度不够高,频率选择性欠佳。其他很多基于滤波器联合设计的滤波天线也有类似的问题。
3、融合设计法
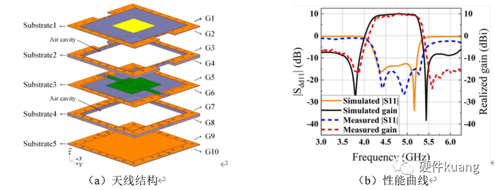
2021年8月,天津大学马凯学教授课题组提出了一种基于基板集成悬浮线 (SISL) 平台的用于 5G 应用的宽带高增益滤波天线。

基于基板集成悬浮线 (SISL) 平台的用于 5G 应用的宽带高增益滤波天线
该滤波天线通过向传统贴片天线添加矩形环,可以激发额外的谐振。同时,由于辐射零点的形成,获得了较低频带的频率选择性。在驱动贴片上堆叠贴片,在上频带边缘产生额外的共振模式和辐射零点。
因此,实现带通滤波功能,三个谐振频率点的带宽大大提高。部分带宽为 4.28 至 5.34 GHz(22.04%),涵盖特定的 5G n79频段(4.4-5.0 GHz)。此外,天线高度仅为0.08λ(λ为中心工作频率在自由空间的波长),天线峰值增益为10.4 dBi。
审核编辑:刘清