时间:2023-06-28 09:34
人气:
作者:admin
工作在零偏压下的波导光探测器外电路简单,器件具有低功耗、易集成等优点,因此设计零偏压下的高速、高响应度、具有波长选择性的波导光探测器具有重要意义和更广阔的应用前景。目前光子晶体滤波器与波导光探测器的单片集成器件还未得到充分的研究,这种单片集成器件对比于以往的波长选择型波导光探测集成器件,具有制备工艺简单、占地面积小、抗干扰能力强、易于大规模集成等突出优点,更适合构建智能光通信系统中高密集光网络架构。
据麦姆斯咨询报道,近期,聊城大学的科研团队在《聊城大学学报(自然科学版)》期刊上发表了以“零偏压下近红外集成单波长波导光探测器”为主题的文章。该文章第一作者为高松,通讯作者为牛慧娟副教授,主要从事光电信息器件与系统方面的研究工作。
本文将窄线宽、单波长滤波器与边入射波导光探测器进行集成以同时实现滤波与光电转换功能。
该器件由工作于零偏压的高性能波导光探测器、InGaAsP材料锥形耦合器与光子晶体滤波器水平集成而成,集成后器件如图1所示,其中锥形耦合器可以大大提高光子晶体滤波器与波导光探测器间的耦合效率。

图1 集成单波长波导光探测器结构示意图
器件设计及原理
零偏压波导光探测器的设计
为了实现波导光探测器与光子晶体滤波器、锥形耦合器的单片集成,采用高掺杂的InGaAsP(折射率为3.39)材料作为光波导层。设计的零偏压波导探测器的有源区宽度为4 μm(W2),长度为15 μm(L2),电极与有源区间隔为2 μm。具体参数如表1。
表1 波导光探测器外延参数

波导光探测器的吸收层采用高斯掺杂类型可以增加吸收层的内部电场,加快电子的漂移速度,从而提高波导光探测器的响应速度。重掺杂的InGaAsP材料作为光波导层,InP材料作为N接触层。匹配层可以使光信号更好的耦合至吸收层,收集层可以调节结电容,电子在其中作漂移运动,吸收层则进行光电转换。电子阻挡层用于阻挡光生电子从吸收层向P接触层扩散,P接触层的作用是使半导体器件与金属电极形成良好的欧姆接触。
锥形耦合器结构的设计
锥形耦合器的输入端的宽度为W1,输出端的宽度为W2,分别与光子晶体滤波器、波导光探测器的输出、输入端宽度保持一致。如图2所示。

图2 不同m值锥形耦合器俯视图:(a)m=0.5 (b)m=2
光子晶体滤波器设计
本文设计的光子晶体滤波器是通过在厚度为1 μm的InGaAsP材料上刻蚀出空气孔来实现滤波功能。图3(a)为具有线缺陷的光子晶体结构,线缺陷波导将束缚光波在其中传播,因此左端口(Port1)入射光波将在右端口(Port2)出射。在实际中常要求改变光路的方向以适应不同的应用场合,本文设计的光子晶体滤波器通过对入射光场的控制使得特定波长的光波可以通过光子晶体且方向改变90°后进入锥形耦合器。图3(b)为具一个六边形环形谐振腔的光子晶体结构,其中腔内的空气柱(白色圆柱)半径为R,腔外的空气孔半径为r,晶格常数为a。满足共振条件的光波将通过环形腔耦合至输出端口Port3处,其它波长的光波将无法通过光子晶体滤波器,从而实现滤波的功能。

图3 解复用器结构俯视图:(a)线缺陷(b)环形缺陷
器件仿真结果及性能分析
零偏压波导光探测器的性能分析
使用光束传播法模拟了1.55 μm的光波在波导光探测器结构中的传播,如图4所示。输入光功率变为原来的1/e时波导光探测器的吸收长度为15 μm。采用时域有限差分法对波导光探测器的响应度进行分析。

图4 光在波导探测器中的传播
同时,为了说明吸收层采用高斯掺杂分布可以提高吸收层内部电场强度,提高波导光探测器的响应速度。这里将吸收层采用P型高斯掺杂,器件掺杂浓度分布如图5(a)所示。仿真结果表明,零偏压工作下(4×15) μm²波导光探测器UTC-WGPD和MUTC-WGPD的3 dB带宽可分别达61 GHz和78 GHz,图5(b)给出二者的频率响应关系。
显然,在0 V工作条件下,MUTC-WGPD的带宽大约是UTC-WGPD的1.27倍,带宽得到了明显的提升。图5(c)为外置偏置电压为0 V时UTC-WGPD和MUTC-WGPD的电场分布,可以看出高斯掺杂分布提高了吸收层的电场强度,从而使光生载流子以更快的速度通过吸收层,即使在0 V工作条件下MUTC-WGPD也具有高速性能。

图5 MUTC-WGPD和UTC-WGPD的对比图(a)掺杂浓度分布图(b)频率响应图(c)电场分布图
光子晶体滤波器与锥形耦合器的性能分析
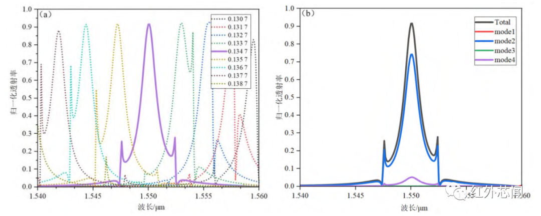
本文设计光子晶体滤波器,以波长为1.54 μm - 1.56 μm(TE基模)为输入源、背景折射率为1,光子晶体滤波器晶格常数a = 0.42 μm,并且以完美匹配层作为吸收条件,进行模拟计算,利用时域有限差分法研究了光子晶体滤波器的传输特性。图6(a)显示了输出端口Port3处的透射谱与腔内空气柱半径R的关系。当R = 0.1347 μm时,光波波长为1.54 μm、1.55 μm、1.56 μm的透射率分别为0.55%、91%、0.58%。Port3处不同模式的透射谱如图6(b)所示,图6(b)表明Port3处主要以波长为1.55 μm TE基膜(mode2)模式波为输出源,其中TE基模的透射率约为80%。。图7(a)(b)为当光源分别为1.55 μm、1.54 μm在光子晶体滤波器中的传播路径,同时证明了波长为1.55 μm的光波可以到达光子晶体滤波器输出端口Port3处,然而1.54 μm的光波则无法通过光子晶体滤波器。在环形缺陷的作用下,形成了以中心波长为1.55 μm,总透射率高达91%,半高全宽为仅为1.6 nm,Q值为962.7的透射峰。

图6 光子晶体滤波器透射谱图:(a)不同R值(b)不同模式

图7 不同波长光场分布图(a)波长为1.55 μm(b)波长为1.54 μm
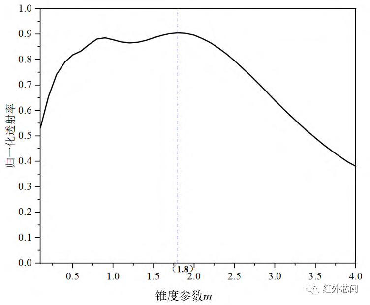
波长为1.55μm的光波经锥形耦合器传输到零偏压波导光探测器,本文采用时域有限差分法研究锥形耦合器的光学特性。图8展示了不同m值时,锥形耦合器输出端TE 基模的透射谱(只考虑TE基模的传输效率)。当m为1.8时,锥形耦合器的传输效率约为90.5%,其光场分布如图9所示。

图8 不同m值锥形耦合器透射谱图TE基模

图9 m=1.8 时锥形耦合器光场分布图
总结
本文设计的零偏压下近红外集成单波长波导光探测器同时具有高速、高量子效率和窄的光谱响应线宽。器件的响应波长为1550 nm,Q值为962.7,理论仿真该器件的响应度为0.78 A/W,3 dB响应带宽为78 GHz@0 V。此研究方法不单单适用于单波长下光子晶体滤波器与波导光探测器集成器件的研究,也适用设计具有多波长处理功能的单片集成波导光探测器阵列器件。采用InGaAsP材料作为光波导层的外延层材料,一方面有利于与InP材料衬底的晶格匹配实现单片集成,另一方面通过变换InGaAsP材料组分可以对其光学折射率进行调节以适应不同波段的接收。多光路光子晶体可以作为多波长解复用器,可应用于弹性光网络的可重构光分插复用器,与波导光探测器集成后形成弹性接收子系统,同时具有低的复杂度和高的可靠性。
审核编辑:刘清
下一篇:加密算法如何保护嵌入式设计