时间:2023-06-28 11:45
人气:
作者:admin
本文采用自适应卡尔曼滤波算法,基于Thevenin/RC电池模型,锂离子电池SOC进行估算,并和常规KF算法进行比较分析,以此提高SOC估算的精度。
1、锂离子电池的等效电路模型
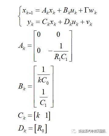
本文采用Thevenin等效电路模型,该模型能准确地模拟锂离子电池的动态响应,直观地表现输入与输出的关系。假设,电池工作电压为U,电池工作电流为I,电池欧姆内阻为R0,电池极化电阻为R1,电池极化电容为C1,电池存储容量为C0。则电池的动态特性为:

2 锂离子电池估算的Simulink模型
假设,模型的输入u为动力电池的工作电流I,输出y为动力电池的工作电压U0,则动力电池的状态空间模型表示为:

将动力电池非线性状态模型线性化,并离散后得到离散模型为:

离散化采样周期T=1s,过程噪声w和测量噪声的均值和方差为:

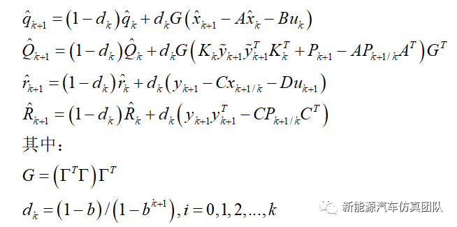
基于自适应卡尔曼滤波方法的SOC估算步骤如下:

上述递推公式与EKF算法一致,但AEKF算法不仅为状态变量进行估计,还对噪声参数进行估计。

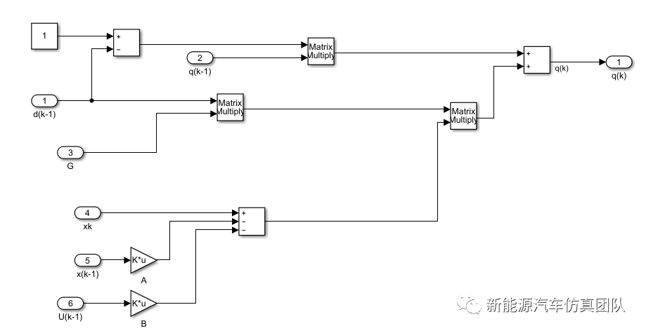
为了验证本文提出算法的精确,在Simulink环境下搭建SOC估算模型。模块AKF是自适应卡尔曼滤波的SOC估计模型的封装,模块KF是卡尔曼滤波的搭建的SOC模块封装,在输入的电压信号中加入随机噪声信号作为系统的测量噪声,系统仿真模型如下图所示。
(1)卡尔曼滤波模块:

(2)状态估计时间更新模块:

(3)误差协方差时间更新模块:

(4)卡尔曼滤波增益模块:

(5)状态测量更新模块:

(6)误差协方差测量更新模块:

(7)整体模块:

(8)自适应模块:




3 验证


由图可以看出自适应卡尔曼滤波算法的估算电池荷电状态的数值随着时间的增加相比卡尔曼滤波算法的荷电状态估算要更加贴近于实际值。