时间:2023-06-28 15:00
人气:
作者:admin
1、概述
如果进行电池SOC的建模,常常会用到Simulink中的Battery模块,本期基于Matlab中的help文件,会大家概述Battery模块的用法。Simulink中的Battery模块如下图所示:

双击Battery模块会出现参数设置的界面:

如果为Battery charge capacity参数选择Infinite,则模块将电池建模为串联电阻器和恒压源。如果您为Battery charge capacity参数选择Finite,则模块将电池建模为串联电阻器和与充电相关的电压源。在有限情况下,电压是电荷的函数,具有以下关系:

式中,SOC(荷电状态)是当前充电与额定电池容量的比率。V0是电池在空载时充满电时的电压,由额定电压Vnom参数定义。β是一个常数。
2、电池衰退模型
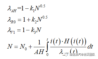
对于具有有限电池充电容量的电池型号,可以根据放电循环的次数对电池性能退化进行建模。这种劣化称为电池衰退。

式中,λAH是电池标称容量的乘数。λR0是电池串联电阻的乘数。λV1是电压V1的乘数。N是完成的放电循环次数。N0是模拟开始前完成的完整放电循环次数。AH是以安培小时为单位的额定电池容量。i(t)是瞬时电池输出电流。H(i(t))是瞬时电池输出电流的Heaviside函数。如果参数为负,则此函数返回0,如果参数为正,则返回1。
3、热效应建模

式中,T是电池温度。T1是标称测量温度。λV是V0的参数温度相关系数。β的计算方法与 Battery Model 相同,
内部串联电阻、自放电电阻和任何电荷动态电阻也是温度的函数:

式中,λR是参数温度相关系数。
4、电池动力学模型
可以使用Charge dynamics参数对电池充电动态进行建模:

No dynamics——等效电路不包含并联RC部分。电池的端电压和内部充电电压之间没有延迟。
One time-constant dynamics——等效电路包含一个并联RC部分。使用第一个时间常数参数指定时间常数。
Two time-constant dynamics——等效电路包含两个并联的RC部分。使用第一个时间常数和第二个时间常数参数指定时间常数。
Three time-constant dynamics——等效电路包含三个并联的RC部分。使用第一个时间常数、第二个时间常数和第三个时间常数参数指定时间常数。
Four time-constant dynamics——等效电路包含四个并联的RC部分。使用第一个时间常数、第二个时间常数、第三个时间常数和第四个时间常数参数指定时间常数。
Five time-constant dynamics——等效电路包含五个并联的RC部分。使用第一个时间常数、第二个时间常数、第三个时间常数、第四个时间常数和第五个时间常数参数指定时间常数。
下图为Two time-constant dynamics模型图:

RRC1和RRC2是并联的RC电阻。分别使用第一极化电阻(First polarization resistance)和第二极化电阻(Second polarization resistance)参数指定这些值。
CRC1和CRC2是并联的RC电容。时间常数τ使用关系式C=τ/R将R和C值关联起来。分别使用第一个时间常数(First time constant)和第二个时间常数(Second time constant)参数为每个部分指定τ。
R0是串联电阻。使用内阻(Internal resistance)参数指定该值。
5、绘制电压-电荷特性
快速绘图功能可让您可视化电池模型参数值的电压-充电特性。要绘制特性图,请右键单击模型中的Battery模块,然后从上下文菜单中选择Electrical > Basic 特性。软件根据模块参数值自动计算一组偏置条件,并打开一个图形窗口,其中包含模块的空载电压与荷电状态(SOC)的关系图。
6、参数
Nominal voltage, Vnom — Output voltage when battery is fully charged
电池充满电时的空载电压。
Internal resistance — Battery internal resistance
电池内阻
Battery charge capacity — Select battery model
选择用于建模电池充电容量的选项之一:
Infinite——电池电压与从电池汲取的电量无关。
Finite——电池电压随着电量的减少而降低。
Ampere-hour rating — Nominal battery capacity when fully charged
以安培小时为单位的最大(标称)电池电量。
Voltage V1 when charge is AH1 — Output voltage at charge level AH1
充电电平为AH1时的电池基波输出电压,由Charge AH1 when empty电压为V1参数指定。
该参数必须小于标称电压Vnom。
Charge AH1 when no-load voltage is V1 — Charge level when the no-load output voltage is V1
充电为AH1参数时Voltage V1指定的空载输出电压对应的电池充电电平。
7、仿真
以12V的铅酸电池模型为例,搭建的电池充放电模型如下图所示:

其中,SOC Calculation表示安时积分法。仿真结果如下图所示:

由此可知,Battery模型能很好的反应SOC的变化关系。
下一篇:语音模块的应用让夏天更舒适