时间:2023-06-01 11:05
人气:
作者:admin
积分梳状滤波器(CIC,Cascaded Integrator Comb),一般用于数字下变频(DDC)和数字上变频(DUC)系统。CIC 滤波器结构简单,没有乘法器,只有加法器、积分器和寄存器,资源消耗少,运算速率高,可实现高速滤波,常用在输入采样率最高的第一级,在多速率信号处理系统中具有着广泛应用。
DDC 原理
◆DDC 工作原理
DDC 主要由本地振荡器(NCO) 、混频器、滤波器等组成,如下图所示。

DDC 将中频信号与振荡器产生的载波信号进行混频,信号中心频率被搬移,再经过抽取滤波,恢复原始信号,实现了下变频功能。
中频数据采样时,需要很高的采样频率来确保 ADC(模数转换器)采集到信号的信噪比。经过数字下变频后,得到的基带信号采样频率仍然是 ADC 采样频率,所以数据率很高。此时基带信号的有效带宽往往已经远小于采样频率,所以利用抽取、滤波进行数据速率的转换,使采样率降低,避免资源的浪费和设计的困难,就成为 DDC 不可缺少的一部分。
而采用 CIC 滤波器进行数据处理,是 DDC 抽取滤波部分最常用的方法。
◆带通采样定理
在 DDC 系统中,输入的中频载波信号会根据载波频率进行频移,得到一个带通信号。如果此时仍然采用奈奎斯特采样定理,即采样频率为带通信号最高频率的两倍,那么此时所需的采样频率将会很高,设计会变的复杂。此时可按照带通采样定理来确定抽样频率。
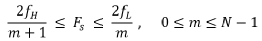
带通采样定理:一个频带限制在
的连续带通信号,带宽为
。令
,其中 N 为不大于
的最大正整数,如果采样频率满足条件:

则该信号完全可以由其采样值无失真的重建。
当 m=1 时,带通采样定理便是奈奎斯特采样定理。
带通采样定理的另一种描述方式为:若信号最高频率为信号带宽的整数倍,采样频率只需大于信号带宽的两倍即可,此时不会发生频谱混叠。
所以,可以认为采样频率的一半是 CIC 滤波器的截止频率。
◆DDC 频谱搬移
例如一个带宽信号中心频率为 60MHz,带宽为 8MHz, 则频率范围为 56MHz ~ 64MHz,m 的可取值范围为 0 ~ 7。取 m=1, 则采样频率范围为 64MHz ~ 112MHz。
取采样频率为 80MHz,设 NCO 中心频率为 20 MHz,下面讨论复信号频谱搬移示意图。
(1)考虑频谱的对称性,输入复信号的频谱示意图如下:

(2)80MHz 采样频率采样后,5664MHz 的频带被搬移到了 -24 -16MHz 与 136 ~ 144MHz(高于采样频率被滤除)的频带处,-64~ -56MHz 的频带被搬移到 -144~ -136MHz(高于采样频率被滤除)与 16~24MHz 的频带处。
采样后频带分布如下:

(3)信号经过 20MHz NCO 的正交电路后, -24~ -16MHz 的频带被搬移到 -44MHz 与 -44 -36MHz 的频带处,1624MHz 的频带被搬移到 -44MHz 与 36~44MHz 的频带处,如下所示。

(4)此时中频输入的信号已经被搬移到零中频基带处。
-44~ -36MHz 和 3644MHz 的带宽信号是不需要的,可以滤除;-44MHz 的零中频信号数据速率仍然是 80MHz,可以进行抽取降低数据速率。而 CIC 滤波,就是要完成这个过程。
上述复习了很多数字信号处理的内容,权当抛 DDC 的砖,引 CIC 的玉。
CIC 滤波器原理
◆单级 CIC 滤波器
设滤波器抽取倍数为 D,则单级滤波器的冲激响应为:

对其进行 z 变换,可得单级 CIC 滤波器的系统函数为:

令

可以看出,单级 CIC 滤波器包括两个基本组成部分:积分部分和梳状部分,结构图如下:

◆积分器
积分器是一个单级点的 IIR(Infinite Impulse Response,无限长脉冲冲激响应)滤波器,且反馈系数为 1,其状态方程和系统函数分别为:


◆梳状器
梳状器是一个 FIR 滤波器,其状态方程和系统函数分别为:


◆抽取器
在积分器之后,还有一个抽取器,抽取倍数与梳状器的延时参数是一致的。利用 z 变换的性质进行恒等变换,将抽取器移动到积分器与梳状器之间,可得到单级 CIC 滤波器结构,如下所示。

◆参数说明
CIC 滤波器结构变换之前的参数 D 可以理解为梳状滤波器的延时或阶数;变换之后,D 的含义 变为抽取倍数,而此时梳状滤波器的延时为 1,即阶数为 1。
很多学者会引入一个变量 M,表示梳状器每一级的延时,此时梳妆部分的延时就不为 1 了。那么梳状器的系统函数就变为:

其实把 DM 整体理解为单级滤波器延时,或者抽取倍数,也都是可以的。可能实现的方式或结构不同,但是最后的结果都是一样的。本次设计中,单级滤波器延时都为 M=1,即抽取倍数与滤波延时相同。
◆多级 CIC 滤波器
单级 CIC 滤波器的阻带衰减较差,为了提高滤波效果,抽取滤波时往往会采用多级 CIC 滤波器级联的结构。
实现多级直接级联的 CIC 滤波器在设计和资源上并不是最优的方式,需要对其结构进行调整。如下所示,将积分器和梳状滤波器分别移至一组,并将抽取器移到梳状滤波器之前。先抽取再进行滤波,可以减少数据处理的长度,节约硬件资源。

当然,级联数越大,旁瓣抑制越好,但是通带内的平坦度也会变差。所以级联数不宜过多,一般最多 5 级。
CIC 滤波器设计
◆设计说明
CIC 滤波器本质上就是一个简单的低通滤波器,截止频率为采样频率除以抽取倍数后的一半。输入数据信号仍然是 7.5MHz 和 250KHz,采样频率 50MHz。抽取倍数设置为 5,则截止频率为 5MHz,小于 7.5MHz,可以滤除 7.5MHz 的频率成分。设计参数如下:
输入频率: 7.5MHz 和 250KHz
采样频率: 50MHz
阻带: 5MHz
阶数: 1(M=1)
级数: 3(N=3)
关于积分时中间数据信号的位宽,很多地方给出了不同的计算方式,计算结果也大相径庭。这里总结一下使用最多的计算方式:

其中,D 为抽取倍数,M 为滤波器阶数,N 为滤波器级数。抽取倍数为 5,滤波器阶数为 1,滤波器级联数为 3,取输入信号数据位宽为 12bit,对数部分向上取整,则积分后数据不溢出的中间信号位宽为 21bit。
为了更加宽裕的设计,滤波器阶数如果理解为未变换结构前的多级 CIC 滤波器直接型结构,则滤波器阶数可以认为是 5,此时中间信号最大位宽为 27bit。
◆积分器设计
根据输入数据的有效信号的控制,积分器做一个简单的累加即可,注意数据位宽。
//3 stages integrator
module integrator
#(parameter NIN = 12,
parameter NOUT = 21)
(
input clk ,
input rstn ,
input en ,
input [NIN-1:0] din ,
output valid ,
output [NOUT-1:0] dout) ;
reg [NOUT-1:0] int_d0 ;
reg [NOUT-1:0] int_d1 ;
reg [NOUT-1:0] int_d2 ;
wire [NOUT-1:0] sxtx = {{(NOUT-NIN){1'b0}}, din} ;
//data input enable delay
reg [2:0] en_r ;
always @(posedge clk or negedge rstn) begin
if (!rstn) begin
en_r <= 'b0 ;
end
else begin
en_r <= {en_r[1:0], en};
end
end
//integrator
//stage1
always @(posedge clk or negedge rstn) begin
if (!rstn) begin
int_d0 <= 'b0 ;
end
else if (en) begin
int_d0 <= int_d0 + sxtx ;
end
end
//stage2
always @(posedge clk or negedge rstn) begin
if (!rstn) begin
int_d1 <= 'b0 ;
end
else if (en_r[0]) begin
int_d1 <= int_d1 + int_d0 ;
end
end
//stage3
always @(posedge clk or negedge rstn) begin
if (!rstn) begin
int_d2 <= 'b0 ;
end
else if (en_r[1]) begin
int_d2 <= int_d2 + int_d1 ;
end
end
assign dout = int_d2 ;
assign valid = en_r[2];
endmodule