时间:2023-05-25 11:32
人气:
作者:admin
Part 01
电容1/sC,电感sL的由来,想必很多人跟我一样,大一大二上来就学模拟电子线路,直接给出电容可以表示为1/sC,电感可以表示sL,然后将其看成一个纯粹的电阻。
问:怎么来的?
答:对电容电感VCR表达式的IO方程两侧作拉氏变换来的。
Part 02
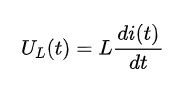
我们拿电感举例:
时域VCR表达式:

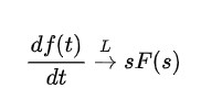
根据拉普拉斯变换时域微分性质,
对一个函数时域求导就是在它的复频域F(s)乘一个s,

所以,对时域VCR表达式方程两侧同求拉普拉斯变换:

这里,这个sL就出来了。
Part 03
总结一下电感的关系:

其实这里隐含着,如果你把电感电容表达式写成电容1/sC,电感sL的形式,就是默认你要用拉普拉斯这种复频域分析法去解决问题。
如果你把电感电容表达式写成电容1/jwC,电感jwL的形式,就是默认你要用傅里叶变换这种频域分析法去解决问题。
注意:
这样的表达式一旦给出,电阻/电容/电感的IO方程的电压电流自变量已经变为jw和s,与t无关。
知识点
电容的推导方式一样的,也是对IO方程两侧同求L/F变换。
实际上蛮抽象的,有些人说sL它是一个运算阻抗。
这是一个电感的感值和L域自变量s的乘积,L是电感本身的,s是时域微分性质引入的。