时间:2023-05-17 14:33
人气:
作者:admin
是时候抛弃 tokenization 了?ChatGPT 等对话 AI 的出现让人们习惯了这样一件事情:输入一段文本、代码或一张图片,对话机器人就能给出你想要的答案。但在这种简单的交互方式背后,AI 模型要进行非常复杂的数据处理和运算,tokenization 就是比较常见的一种。 在自然语言处理领域,tokenization 指的是将文本输入分割成更小的单元,称为「token」。这些 token 可以是词、子词或字符,取决于具体的分词策略和任务需求。例如,如果对句子「我喜欢吃苹果」执行 tokenization 操作,我们将得到一串 token 序列:["我", "喜欢", "吃", "苹果"]。有人将 tokenization 翻译成「分词」,但也有人认为这种翻译会引起误导,毕竟分割后的 token 未必是我们日常所理解的「词」。







,即使是长序列也能易于处理。2. per-patch 前馈层。在 GPT-3 等超大模型中,超过 98% 的 FLOPS 用于计算 position-wise 前馈层。MEGABYTE 通过给 per-patch(而不是 per-position)使用大型前馈层,在相同的成本下实现了更大、更具表现力的模型。在 patch 大小为 P 的情况下,基线 transformer 将使用具有 m 个参数的相同前馈层 P 次,而 MEGABYTE 仅需以相同的成本使用具有 mP 个参数的层一次。 3. 并行解码。transformer 必须在生成期间串行执行所有计算,因为每个时间步的输入是前一个时间步的输出。通过并行生成 patch 的表征,MEGABYTE 在生成过程中实现了更大的并行性。例如,具有 1.5B 参数的 MEGABYTE 模型生成序列的速度比标准的 350M 参数 transformer 快 40%,同时在使用相同的计算进行训练时还改善了困惑度(perplexity)。 总的来说,MEGABYTE 让我们能够以相同的计算预算训练更大、性能更好的模型,将能够处理非常长的序列,并提高部署期间的生成速度。 MEGABYTE 还与现有的自回归模型形成鲜明对比,后者通常使用某种形式的 tokenization,其中字节序列被映射成更大的离散 token(Sennrich et al., 2015; Ramesh et al., 2021; Hsu et al., 2021) 。tokenization 使预处理、多模态建模和迁移到新领域变得复杂,同时隐藏了模型中有用的结构。这意味着大多数 SOTA 模型并不是真正的端到端模型。最广泛使用的 tokenization 方法需要使用特定于语言的启发式方法(Radford et al., 2019)或丢失信息(Ramesh et al., 2021)。因此,用高效和高性能的字节模型代替 tokenization 将具有许多优势。 该研究对 MEGABYTE 和一些强大的基线模型进行了实验。实验结果表明,MEGABYTE 在长上下文语言建模上的性能可与子词模型媲美,并在 ImageNet 上实现了 SOTA 的密度估计困惑度,并允许从原始音频文件进行音频建模。这些实验结果证明了大规模无 tokenization 自回归序列建模的可行性。 MEGABYTE 主要组成部分

映射成一个长度为
、维度为
的 patch 嵌入序列。
首先,每个字节都嵌入了一个查找表
,形成一个大小为 D_G 的嵌入,并添加了位置嵌入。

然后,字节嵌入被重塑成维度为
的 K 个 patch 嵌入的序列。为了允许自回归建模,该 patch 序列被填充以从可训练的 patch 大小的填充嵌入(
),然后从输入中移除最后一个 patch。该序列是全局模型的输入,表示为
。

,并通过对先前 patch 执行自注意力来输出更新的表示
。

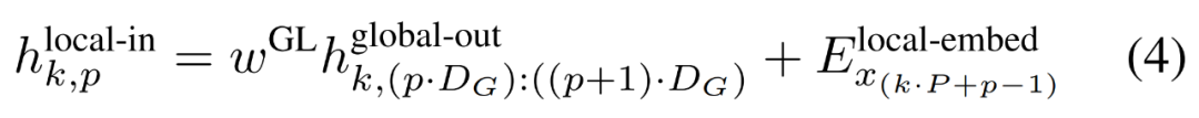
最终全局模块的输出
包含 P・D_G 维的 K 个 patch 表示。对于其中的每一个,研究者将它们重塑维长度为 P、维度为 D_G 的序列,其中位置 p 使用维度 p・D_G to (p + 1)・D_G。然后将每个位置映射到具有矩阵
的局部模块维度,其中 D_L 为局部模块维度。接着将这些与大小为 D_L 的字节嵌入相结合,用于下一个
的 token。局部字节嵌入通过可训练的局部填充嵌入(E^local-pad ∈ R^DL)偏移 1,从而允许在 path 中进行自回归建模。最终得到张量

。

最后,研究者可以计算每个位置的词汇概率分布。第 k 个 patch 的第 p 个元素对应于完整序列的元素 t,其中 t = k・P + p。







下一篇:AI算法说-图像分割