时间:2023-05-09 14:35
人气:
作者:admin
1、物体检测与跟踪算法

1.1DBSCAN
DBSCAN: Density Based SpatialClusteringof Applications with Noise;DBSCAN是基于密度的聚类方法,对样本分布的适应能力比K-Means更好。

红色的点是核心对象 黑色的点是非核心对象
注意:距离的度量不限于点的空间距离,还可以是其它点特征,比如速度、反射强度等
基本思路
假定类别可以通过样本分布的紧密程度决定,通过将紧密相连的样本分为一类,得到不同的聚类类别。
基本概念
(ε,MinPts):用来描述邻域的密度;
ε :描述了某一样本的邻域距离阈值;
MinPts:描述了邻域中的最小样本数。
核心对象:对于任一样本,其邻域至少包含MinPts个样本。
算法流程
找到所有的核心对象
对于每一个未处理的核心对象,生成新的聚类;
搜索其 ε 邻域,将 ε邻域中的点加入该聚类;
不断重复以上步骤

K-Means与DBSCAN 的对比
K-Means
需要手工指定cluster的数量
所有点都进行聚类,不会去除outlier
各个方向同等重要,只适合于球形的cluster
具有随机性,每次运行结果不一致
DBSCAN
不需要指定cluster个数
可以排除outlier
对样本分布的适应性更好
每次运行结果是一致的
1.2 卡尔曼滤波
基本概念



雷达目标跟踪:多目标.Tracking-by-Detection
由聚类算法在单帧点云得到目标输出;
提取目标的特征,包括统计特征(比如点位置的均值,方差等)和运动特征(比如速度和加速度等) ;
根据特征计算当前帧的检测目标(detections)与已跟踪的多个目标(tracks)的相似度;
按照相似度将de tections分配给tracks;
卡尔曼滤波更新tracks的状态参数(位置、速度等)。
2、毫米波雷达公开数据库的未来发展方向
单模态数据库
只包含雷达数据,相对来说应用范围较窄
很难进行准确有效的标注
多模态数据库
除了雷达数据,还包括同步的图像和激光雷达数据
雷达数据:数据块或者点云
NuScenes,CARRADA,SCORP,CRUW,SeeingThroughFog
未来发展方向
多模态数据
➢包括同步的图像,激光雷达等数据,用来进行多传感器融合的研究。
多数据类型
➢包括ADC数据,RAD数据,点云数据等,为不同层次的算法研究和实际应用提供支持。
360度视场
➢需要多个雷达配合完成,以满足多种自动驾驶应用的需求。8.01。
大规模数据
➢一般来说,至少要有超过10万帧的不同场景,不同天气条件下采集的数据。
丰富的标注信息
➢物体级:类别,位置,大小,方向,分割的mask
➢场景级:语义信息,比如free space, occupied space等。
3、4D毫米波雷达特点及发展趋势
4D指的是距离(Range) ,水平角度(Azimuth) ,俯仰角度( Elevation)和速度(Doppler) 。一般来说, 4D 毫米波雷达的角度分辨率相对较高,因此也经常被称为4D成像雷达。
4D毫米波雷达的两个主要特点是: 1)可以测量高度的信息; 2)角度分辨率较高。
为了更好的理解这两点,首先要了解FMCW雷达角度分辨率的依赖因素,以及为了增加角度分辨率所采用的MIMO机制。
3.1.1 FMCW雷达角度分辨率
想要测量目标的方位角,至少需要两个接收天线(RX).可以通过相位差来求得方位角


在有多个接收天线时,每个接收信号与前一个接收信号之间的相位差都是 ω。以下图为例,假设有4个接收天线,以第一个接收天线为基准,4个接收信号的相位差分别为0, ω,2 ω,3 ω。这个序列信号的变化频率就是 ω ,因此我们通过FFT来提取这个分量(也就是角度FFT)。

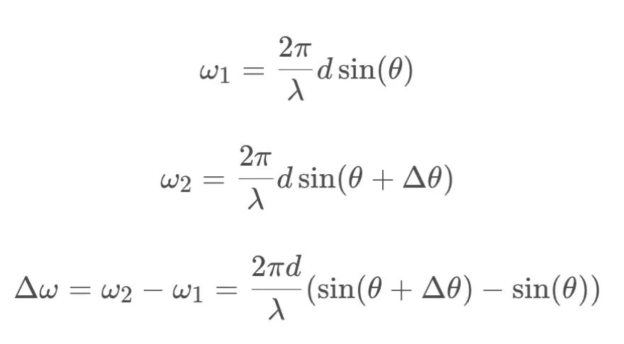
如果场景中存在多个目标,而且其距离和速度都相同,那么雷达能够区分这些目标的最小角度差称之为角度分辨率。假设有以下场景,场景中有两个目标,其方位角分别为 θ 和 θ + Δ θ ,对应的相位差分别为 ω 1 和 ω 2 。

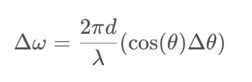
因为 sin ( θ ) 的导数为 cos ( θ ) ,所以可得

根据傅里叶变换理论,N点的FFT可以区分的频率分量最小为2π/N,这里的N就是接收天线的个数。这样我们就可以得到可以分辨的最小角度差,也就是角度分辨率。


从上面的推导可以看出,角度分辨率主要依赖于两个因素: 1)目标的方位角。在boresight方向分辨率最高。越靠近雷达FOV的边缘,角度分辨率越低。2)天线的个数。角度分辨率与天线个数城正比关系。第一个因素我们无法控制,而提高FMCW雷达角度分辨率的主要手段就是增加天线个数。
3.1.2 MIMO ( Multiple Input Multiple Output)技术
从角度分辨率的计算公式中可以看到,想要提高雷达的角度分辨率,必须增加接收天线的个数。但是,增加天线的个数,会使天线体积变得很大,此外每一个接收天线上都要附加一个单独的链路来处理信号,比如混频器、IF滤波器和ADC。不仅硬件设计变得复杂,而且成本也会增加。


采用MIMO (多发多收)的天线设计来降低接收天线的个数。比如,如果想要得到8个接收天线,采用2个发射天线和4个接收天线,这样就可以得到等效的8个虛拟接收天线阵列。一般来说,不同的发射天线会间隔发射,或者发射不同波形的信号,这样接收天线就可以区分来自不同发射天线的信号。
当发射天线有垂直方向的分布时,就可以测量目标的俯仰角度。下图就是一个典
型的3发4收的天线排列结构。等效的接收天线有12个,垂直方向上有两个天线
可以用来测量俯仰角度。

3.24D毫米波雷达发展趋势
3.2.1 芯片级联
4D成像雷达的核心在于较高的水平和垂直角度分辨率,这就需要增加发射和接收天线的个数。目前绝大多数毫米波雷达都是采用单片收发器,通常只有3发4收,也就是只有12个虛拟天线。一个增加虚拟天线的方案是基于现有的量产雷达,将多个雷达芯片进行级联,比如德国大陆的ARS540和华为的4D成像雷达。
ARS540采用4片级联的形式,将4片NXP的77GHz毫米波雷达收发器(MMIC)MR3003进行级联。每个MR3003是3发4收,4片联在一起就是12发16收,这样就可以产生192个虚拟天线。ARS540是第一个具备能够真正测量目标高度的毫米波雷达,其垂直角度分辨率可以达到2.3°,水平角度分辨率可以达到1.2°

3.2.2 专用芯片
除了采用现有的量产雷达进行级联,还有的公司直接将多发多收的天线嵌入到一个雷达芯片里,比如Arbe, Vayyar 以及Mobileye。Arbe 提供的4D成像毫米波雷达Phoenix,采用48发48收,虚拟通道达到个2304个。Mobileye 同样也是48发48收的天线配置,水平和垂直角分辨率可以做到0.5°和2°。

3.2.3 标准芯片+软件提升
这种方案基于标准的雷达芯片,但是采用软件和AI的方法来提高雷达的分辨率。这里比较有代表性的是傲酷的虚拟孔径成像技术。传统FMCW雷达重复单一的发射波形,相位差来自于多根实体接收天线,而傲酷虚拟孔径成像雷达波形可以对发射波进行调频,调相、调幅,也就是说每根接收天线在不同时间产生不同的相位,形成“虚拟天线孔径”。而且这种调整是可以根据当前环境进行自适应的,也就是说根据上一帧的检测结果来调整当前帧的波形。

审核编辑 :李倩