时间:2023-03-03 10:10
人气:
作者:admin
模板匹配介绍
我们需要2幅图像:
原图像 (I):在这幅图像里,我们希望找到一块和模板匹配的区域
模板 (T):将和原图像比照的图像块

模板匹配就是在整个图像区域发现与给定子图像匹配的小块区域。
所以模板匹配首先需要一个模板图像T(给定的子图像)
另外需要一个待检测的图像-源图像S
工作方法,在带检测图像上,从左到右,从上向下计算模板图像与重叠子图像的匹配度,匹配程度越大,两者相同的可能性越大。
模板匹配原理
我们的目标是检测最匹配模板的原图像的区域:

为了确定匹配模板区域, 我们不得不滑动模板图像和原图像进行比较 :

对于 模板(T) 覆盖在 原图像 (I) 上的每个位置,你把度量值保存 到 结果图像矩阵 ( R ) 中. 在 R 中的每个位置 (x,y) 都包含匹配度量值:

上图(右)就是TM_CCORR_NORMED方法处理后的结果图像 R . 最白的位置代表最高的匹配. 正如您所见, 黑色框住的位置很可能是结果图像矩阵中的最大数值, 所以这个区域 (以这个点为顶点,长宽和模板图像一样大小的矩阵) 被认为是匹配的.
实际上, 我们使用函数minMaxLoc来定位在矩阵 R 中的最大值点 (或者最小值, 根据函数输入的匹配参数) .
voidminMaxLoc(InputArray src,double* minVal,double* maxVal=0, Point* minLoc=0, Point* maxLoc=0, InputArray mask=noArray())
src:输入图像。
minVal:在矩阵 src中存储的最小值,可输入NULL表示不需要。
maxVal :在矩阵 src中存储的最大值,可输入NULL表示不需要。
minLoc:在结果矩阵中最小值的坐标,可输入NULL表示不需要,Point类型。
maxLoc:在结果矩阵中最大值的坐标,可输入NULL表示不需要,Point类型。
mask:可选的掩模
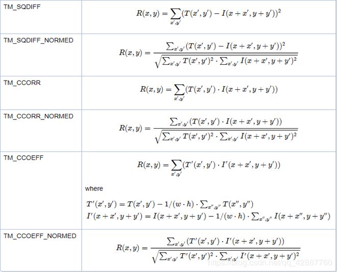
模板匹配介绍 – 匹配算法介绍:
OpenCV中提供了六种常见的匹配算法如下:
计算平方不同 :计算出来的值越小,越相关TM_SQDIFF = 0

计算相关性:计算出来的值越大,越相关TM_CCORR = 2

计算相关系数:计算出来的值越大,越相关TM_CCOEFF = 4

计算归一化平方不同 :计算出来的值越接近0,越相关TM_SQDIFF_NORMED = 1

计算归一化相关性:计算出来的值越接近1,越相关TM_CCORR_NORMED = 3

计算归一化相关系数:计算出来的值越接近1,越相关TM_CCOEFF_NORMED = 5

总结如下:

相关API介绍cv::matchTemplate
matchTemplate(
InputArray image,// 源图像,必须是8-bit或者32-bit浮点数图像
InputArray templ,// 模板图像,类型与输入图像一致
OutputArray result,// 输出结果,必须是单通道32位浮点数,假设源图像WxH,模板图像wxh, 则结果必须为W-w+1, H-h+1的大小。
intmethod,//使用的匹配方法
InputArray mask=noArray()//(optional)
)

程序代码
#include
#include
usingnamespacestd;
usingnamespacecv;
// 定义一些全局变量, 例如原图像(img), 模板图像(templ) 和结果图像(result) ,
// 还有匹配方法以及窗口名称:
Mat img, templ, result;
char* image_window ="Source Image";
char* result_window ="Result window";
intmatch_method = TM_SQDIFF;
intmax_Trackbar =5;
voidMatchingMethod(int,void* );
intmain(intargc,char** argv )
{
// 1. 载入原图像和模板块
img = imread("E:/Experiment/OpenCV/Pictures/TargetSearch.jpg");
templ = imread("E:/Experiment/OpenCV/Pictures/Target.jpg");
imshow("模板图像",templ);
// 创建窗口
namedWindow( image_window, CV_WINDOW_AUTOSIZE );
namedWindow( result_window, CV_WINDOW_AUTOSIZE );
// 2. 创建滑动条并输入将被使用的匹配方法. 一旦滑动条发生改变,回调函数 MatchingMethod 就会被调用.
char* trackbar_label ="模板匹配方式";
createTrackbar( trackbar_label, image_window, &match_method, max_Trackbar, MatchingMethod );
MatchingMethod(0,0);
waitKey(0);
return0;
}
voidMatchingMethod(int,void* )
{
// 将被显示的原图像
Mat img_display;
img.copyTo( img_display );
// 创建输出结果的矩阵
intresult_cols = img.cols - templ.cols +1;
intresult_rows = img.rows - templ.rows +1;
// 创建了一幅用来存放匹配结果的输出图像矩阵. 仔细看看输出矩阵的大小(它包含了所有可能的匹配位置)
result.create( result_cols, result_rows, CV_32FC1 );
// 执行模板匹配操作,并对结果进行归一化:
matchTemplate( img, templ, result, match_method );
normalize( result, result,0,1, NORM_MINMAX,-1, Mat() );
// 通过函数 minMaxLoc 定位最匹配的位置
doubleminVal, maxVal;
Point minLoc, maxLoc;
Point matchLoc;
//通过使用函数 minMaxLoc ,我们确定结果矩阵 R 的最大值和最小值的位置.
minMaxLoc( result, &minVal, &maxVal, &minLoc, &maxLoc, Mat() );//寻找result中最大值,最小值,及它们所在的位置
// 对于方法 SQDIFF 和 SQDIFF_NORMED, 越小的数值代表更高的匹配结果. 而对于其他方法, 数值越大匹配越好
if( match_method == CV_TM_SQDIFF || match_method == CV_TM_SQDIFF_NORMED ){
matchLoc = minLoc;
}else{
matchLoc = maxLoc;
}
// 绘制矩形
rectangle( img_display, matchLoc, Point( matchLoc.x + templ.cols , matchLoc.y + templ.rows ), Scalar::all(0),2,8,0);
rectangle( result, matchLoc, Point( matchLoc.x + templ.cols , matchLoc.y + templ.rows ), Scalar::all(0),2,8,0);
imshow( image_window, img_display );
imshow( result_window, result );
return;
}
运行结果


审核编辑 :李倩
上一篇:总结六大路径规划算法
下一篇:算法仿真短时间使用量波动巨大?