全球最实用的IT互联网站!
人工智能P2P分享搜索全网发布信息网站地图标签大全
共享设备开发的前景分析
阅读全文2023-07-21
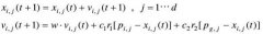
粒子群算法的MATLAB实现(2)
粒子群算法的MATLAB实现(1)
语音模块让化妆镜灯智能化升级
移植rtthread平台到win32的步骤总结
如何设计时序图—以APA自动泊车系统为例(二)
如何设计时序图—以APA自动泊车系统为例(一)
飞凌嵌入式首款RISC-V核心板FET7110-C抢先看——国
MATLAB | 这是我见过最离谱的转置操作
张量t-product积还有另一种实现方式?
51单片机与stm32单片机,先学习哪一个?
新一代嵌入式开发平台 AMD嵌入式软件和工
睿擎派配件上新!4.3寸/7寸MIPI屏、UVC摄像
使用恩智浦FRDM-MCXN947开发板移植触摸屏
CPU | 内存 | 硬盘 | 显卡 | 显示器 | 主板 | 电源 | 键鼠 | 网站地图
Copyright © 2025-2035 诺佳网 版权所有 备案号:赣ICP备2025066733号 本站资料均来源互联网收集整理,作品版权归作者所有,如果侵犯了您的版权,请跟我们联系。