时间:2024-02-02 16:44
人气:
作者:admin
rs485总线接线方式
RS-485总线通常有两种常见的接线方式:点对点连接和多点连接。
1. 点对点连接:
- 在点对点连接中,只有两个设备直接连接在一条RS-485总线上。
- 两个设备之间的连接需要使用两根数据线:A线(正线)和B线(负线)。
- A线和B线是一对平衡传输线,用于双向的差分信号传输。
- 在点对点连接中,每个设备都是直接与总线相连的,并且需要使用终端电阻来防止信号反射。
2. 多点连接:
- 在多点连接中,多个设备可以连接在同一条RS-485总线上,形成总线拓扑结构。
- 在多点连接中,同样需要使用A线和B线进行数据传输。
- 所有设备必须具备从设备的特性,并且在通信时需要一个主设备来控制总线上的数据传输。
- 每个设备都需要有唯一的地址,主设备通过发送特定的地址来选择与之通信的设备。
- 多点连接中,一般采用抽头或终端电阻来提供分支网络的连接。
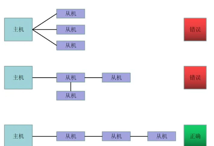
RS-485采用平衡发送和差分接收方式实现通信:发送端将串行口的ttl电平信号转换成差分信号a,b两路输出,经过线缆传输之后在接收端将差分信号还原成ttl电平信号。RS-485总线网络拓扑一般采用终端匹配的总线型结构。即采用一条总线将各个节点串接起来,不支持环形或星型网络。如下图,图1所示。

实际应用中的接线方式,应如图2所示的接线方式。其中从机RS485-A和RS485-B应该是没有上下拉电阻的,若有上下拉电阻会造成能接入的从机数量减少。

以下是一些常见的RS-485总线布线规范,可以提高通信的可靠性和抗干扰能力:
1. 电缆选择:
- 使用屏蔽双绞线(STP)或者无屏蔽双绞线(UTP)作为RS-485总线的传输介质。
- 选择符合要求的电缆规格,如Cat5e或Cat6等。
2. 线缆长度限制:
- 控制总线线缆的最大长度以保持信号的完整性。
- 根据具体应用需求和总线驱动能力,确定适合的线缆长度限制,通常在几十到几百米之间。
3. 线缆连接:
- 采用正确的连接方法,如使用正确的插头和插座。
- 确保良好的连接,避免松动、接触不良等问题。
4. 终端电阻:
- 在总线两端设置合适的终端电阻,一般为120欧姆。
- 终端电阻用于抑制信号反射和提高信号质量。
5. 接地:
- 保持所有设备的地线连接良好,确保共同接地。
- 避免接地回路的干扰。
6. 抗干扰措施:
- 采用屏蔽电缆或采取其他抗干扰措施减少外部电磁干扰。
- 隔离与其他电气设备的干扰源。
7. 驱动能力:
- 确保总线驱动器的输出能力足够强,可以适应所需的传输距离和设备数量。
8. 地址分配:
- 在多点连接的情况下,确保每个设备具有唯一的地址,并根据需要进行地址分配。
审核编辑:黄飞
上一篇:IIC总线为什么是半双工?
从profibusDP转ModbusTCP,一网打尽转换技巧!