时间:2022-10-20 15:56
人气:
作者:admin
Capstone 目前推出一款CS5203是不带HDCP KEY的HDMI转VGA转换芯片CS5203 ,它与CS5213的区别在于CS5213芯片集成片上HDCP 1.4 KEY,支持符合HDCP 1.4规范。
下面详细介绍一下CS5203的功能与参数特性
Capstone CS5203 HDMI到VGA转换器结合了HDMI输入接口和模拟RGB DAC输出。通过支持和片上音频DAC,它节省了成本并优化了板空间。嵌入式MCU基于工业标准8051内核。
CS5203适用于多种细分市场和显示应用,例如主板、桌面、dongle和对接系统。
CS5203详细的功能概述和参数特性:
符合HDMI1.4标准的接收机
VGA输出接口,DAC速度高达200 MHz像素速率,8位
视频分辨率支持高达1920*1200@60and 1920*1080@60Hz
内置振荡器,无需外部晶体
嵌入式线性衰减调节器(LDO)
嵌入式微控制器
嵌入式EDID(如果终端没有EDID,CS5203将响应EDID)
使用内部预设置ROM支持EEPROM Free模式
支持VGA连接检测
内部通电复位(POR)
双通道16位分辨率∑-ΔDAC
支持音频采样频率(Fs):最高48Khz
I2C从机接口和HDMI DDC接口可用于调试
QFN34 4*4包装
HDMI数字输入
符合HDMI1.4
内置高性能自适应均衡器
支持热插拔检测
VGA输出接口
时钟高达200-MHZ的三个8位DAC数模转换器
视频分辨率支持高达1920*1200@60and 1920*1080@60Hz
嵌入式V-sync/H-sync 5V缓冲器
符合VESA VSIS V1R2
嵌入式微控制器
工业标准8051芯
支持I2C主设备和从设备,最高400 Khz
电力与技术
CS5203的管脚配置如下:
CS5203管脚配置CS5203管脚说明:
CS5203管脚说明-1
接口和能力
Hdmi输入符合Hdmi 1.4b标准
DDC_SCL和DDC_SDA信号用于访问EDID。由于这些信号上的上拉电阻已集成到芯片中,因此不再需要外部上拉电阻。
模拟VGA输出
CS5203集成了三个8位-250Mhz-DAC(数模转换器),每个DAC
为其他颜色R(红色)、G(绿色)、B(蓝色)分配。CS5203的模拟VGA接口与VESA VSIS VIR2兼容CS5203还集成了实时热插拔检测机制
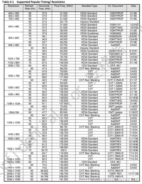
CS5203支持的最流行视频格式如下表4所示
然而,CS5203支持的格式不限于此表
CS5203还支持低于最大带宽的数据传输带宽、低于最大DAC速度200MHz的像素频率。
从profibusDP转ModbusTCP,一网打尽转换技巧!