时间:2023-07-18 15:08
人气:
作者:admin
因出色的导电性,铜排是新能源电驱系统高压承载的零件之一。由于空间问题,高压铜排之间或者铜排与壳体之间的间隙往往很小。在这样的情况下,就需要一个绝缘材料将彼此隔开。
绝缘材料有很多种,比如玻璃、陶瓷就是很好的绝缘材料,在电驱系统中常用的绝缘材料是塑料。
对于塑料宽泛的解释: 以单体为原料,通过加聚或缩聚反应聚合而成的高分子化合物,主要成分是树脂 。
高压绝缘关注什么?
从应用工程师的角度出发,即使我们没有系统的学习过高压绝缘知识,只要根据标准保证电气间隙、爬电距离这两个指标达到要求,就基本可以保证设计的高压系统绝缘不会出大问题了。
那么为什么电气间隙和爬电距离这么重要呢?
爬电距离的尺寸应当确保在给定的工作电压和污染等级下不会出现绝缘闪络或绝缘击穿(例如,由于电痕化引起)。
这里出现了一个陌生的名词— 闪络 ,行业内对闪络解释是指固体绝缘子周围的气体或液体电介质被击穿时, 沿固体绝缘子表面放电的现象 。前面我们谈到的保持电气间隙,是为了防止通过气隙放电,也就是说保持爬电距离是为了防止另外一种区别于空气击穿的高压绝缘失效。
实验表明: 沿固体介质表面的闪络电压不但要比同体介质本身的击穿电压低得多,而且也比极间距离相同的纯气隙的击穿电压低不少 。应该注意的是,这不仅涉及表面干燥、清洁时的特性,还应考虑表面潮湿、污染时的特性,显然,在后一种情况下的沿面闪络电压必然降得更低。
这,就是我们会什么要保持爬电距离的根本原因。
在了解了电气间隙和爬电距离的意义后,以下面两张图来解释两者在测量上的差异(不过多拓展,有兴趣可以查看IEC 60950,实线是电气间隙,虚线是爬电距离)。
爬电距离大于电气间隙

爬电距离等于电气间隙

高压绝缘塑料特性—电气
前面谈到高压绝缘失效常见两种模式有两种:击穿和 闪络 ,这是分析塑料材料的电气绝缘特性的一个基础。那么塑料材料电气性能相关的参数有哪些呢?具体又是如何影响电气性能?
** 1. 体积电阻率 Volume resistivity**
体积电阻率,是材料每单位体积对电流的阻抗,用来表征材料的电性质,单位是Ω·m。
塑料绝缘材料在电场下,也会有很小的电流通过,所以体积电阻率的测试方法就是将材料在要求电压下保持规定时间,并测量所产生的电流。
为了理解不同材料的差异,我们先来了解 分子极性 ,这是理解塑料材料电热性能的纽带,非常重要!
我们说分子有极性是说这个分子内电荷分布不均匀,或者说,正负电荷中心没有重合。分子的极性取决于分子内各个键的极性以及它们的排列方式。
通俗理解,就是极性代表活泼,非极性就是不活泼 **。**所以一般来说非极性高分子的电阻率要略大于极性高分子的电阻率。我们比较熟悉的苯就是典型非极性分子( 记住这个结论,后面还会用到 ),NH3就是典型的极性分子。

** 2 介电强度 **Dielectric strength
介电强度,是材料抗高电压而不产生介电击穿能力的量度,将试样放置在电极之间,并通过一系列的步骤升高所施加的电压直到发生介电击穿,以此测量介电强度,单位是kV/mm。介电强度越大,对电荷的束缚能力的上限就越大越强。
** 3 相对漏电起痕指数 ** Comparative Tracking Index ( CTI )
相对漏电起痕指数是指材料表面能经受住50滴电解液(0.1%氯化铵水溶液)而没有形成漏电痕迹的最高电压值。我们可以简单的理解为塑料抗污染的能力。
如果大家对前面爬电距离的解释还有印象的话,那么就更能理解为什么爬电距离要和CTI扯上关系。忘记的话没关系,我们再温习下前文内容。
实验表明:沿固体介质表面的闪络电压不但要比同体介质本身的击穿电压低得多,而且也比极间距离相同的纯气隙的击穿电压低不少。应该注意的是,这不仅涉及表面干燥、清洁时的特性,还应考虑表面潮湿、污染时的特性,显然,在后一种情况下的沿面闪络电压必然降得更低。
复习完了,我们回来继续讨论。为什么叫起痕指数,什么是起痕呢?这是因为聚合物绝缘材料有着特殊的电气破坏现象,即聚合物绝缘材料表面在特定的条件下会发生电痕劣化现象,并导致电痕破坏。失效的模型如下图所示,这是一种特殊的闪络。

整个失效的过程:
除了上述几个参数以外,塑料电性能相关参数还有耐电弧能力(干烧)、耐电晕能力、耐局部放电能力(绝缘材料含有杂质、气孔等,导致局部放电)等。
高压绝缘塑料特性—机械
绝缘材料首先要满足的是高压绝缘要求,其次要满足的是系统机械性能要求。塑料材料机械失效比较容易理解,常见的失效模式有断、裂、碎。在讨论性能参数之前,我们先来看下高分子材料常见的应力—应变曲线

1 拉伸强****度(tensile strength)
抗拉强度表征材料最大均匀塑性变形的抗力,测试过程中试样拉伸至断裂的过程中,最大的拉伸应力就是拉伸强度,单位MPa
2 断****裂延伸率(Elongation at break)
材料在拉伸断裂后,总伸长与原始标距长度的百分比。工程上常将δ≥5%的材料称为塑性材料;把δ≤5%的材料称为脆性材料。换言之,断裂延伸率越小,材料越脆。
高压绝缘塑料特性—热性能
前面我们讨论了很多塑料材料关键参数:体积电阻率、介电强度、拉伸强度等。材料供应商提供的物性表中的值一般来说都是常温下测得,也不包含材料的耐久老化(在高分子材料的使用过程中, 由于受到热、氧、水、光、微生物、化学介质等环境因素的综合作用, 高分子材料的化学组成和结构会发生一系列变化, 物理性能也会相应变坏, 如发硬、发粘、变脆、变色、失去强度等, 这些变化和现象称为老化)。
所以在材料选型过程,除了看常温下的物性表,更需要关注材料关键参数在不同温度不同环境下的老化以后的性能。
谈到老化,我们首先需要了解材料的一个非常重要的指标—玻璃化转变温度(Tg)
玻璃化转变温度是指由玻璃态转变为高弹态所对应的温度。玻璃化转变是非晶态高分子材料固有的性质,是高分子运动形式转变的宏观体现。**通俗理解,玻璃化转变温度以下,塑料被“冻结”,几乎无老化;玻璃化转变温度以上,塑料材料开始老化,温度越高,老化越严重。**当然,温度的提升并不全部是坏处,有时会提高材料的某些参数,比如我们关注的拉伸强度。

除了玻璃转化温度,还有一个参数直接影响材料的老化性能。我们放在后面进行讨论。
作为电驱动系统中的高压绝缘零件,在某些场合下,我们会需要考虑材料的耐油性。由于高聚合物分子自身的特性,油溶剂分子可以渗透到内部。而影响渗透的因素主要有材料结构、玻璃转化温度、结晶性能,所以在评估塑料材料是否耐不耐油,可以从以下两点出发。
但是获得材料的老化数据成本是相对较高的,因此材料供应商并不会每个牌号都会进行老化数据测试。所以在没有这些老化数据之前,我们一般以材料的热变形温度(Heat deflection temperature, HDT),来代表材料短期的受热能力。
热变形温度是负荷挠曲温度的通俗说法。它是高温下测定塑料刚性的一种方法:在一定负荷下,以一定速度持续加温,直到式样显示指示变形量时的温度。
高压绝缘塑料特性—添加剂
为了满足不同性能要求,塑料材料经常会添加各种添加剂,这就犹如烧菜时添各种佐料一般。塑料材料最常见的添加剂,也是我们最熟悉的莫过于玻纤(无机非金属材料,能有效的提高材料的拉伸强度),即材料牌号后面的英文字符GF。其他的添加剂还有很多,比如热稳定剂/抗氧化剂/发泡剂/阻燃剂。
关于添加剂遇到的比较多的问题有两个
1. 价格
以玻纤为例,GF40材料比GF30材料,玻纤含量高,拉伸强度高,是不是价格也更贵一点呢?
其实不然,玻纤的价格远远的低于塑料基材。玻纤多,基材就少,物料成本反而低,另外通过玻纤提高拉伸强度的同时,其他参数会变差,如塑性。这种此消彼长的副作用,需要我们慎重的去抉择。
2. 阻燃
电驱系统需要V0阻燃吗?
回到这个问题之前,我们先来大致了解下除了V0还有哪些阻燃等级。可燃性UL94等级是应用最广泛的塑料材料可燃性能标准,它用来评价材料在被点燃后熄灭的能力。UL94共12个防火等级,分别是:HB,V-0,V-1,V-2, 5VA,5VB,VTM-0,VTM-1,VTM-2,HBF, HF1,HF2。
在这里我们重点看下HB和V0。
HB是UL94标准中最低的阻燃等级。试验方法是水平夹住试片的一端与水平成 45±2 度,取一铁网,水平固定在试片下方 10±1mm,将本生灯(火焰高度20mm左右)成 45 度,移动到试片另一端接触样品 6mm,并计时 30±1 秒后移开,待试片烧至 25mm 标记时,启动另一计时器。若在 30±1 秒内就烧至 25 mm 的标记时,启动另一计时器,并将本生灯移开。

V0的试验时也称为50w垂直燃烧测试,这是因为燃烧的能量在50w左右。试验方法是本生灯(火焰高度20mm左右)接触样品下方中心点燃烧 10±0.5 秒后,以 300mm/s 的速度移开本生灯,距离试片至少 150mm,并记录第一次的自燃时间。自燃停止后,马上进行第二次燃烧,燃烧 10±0.5 秒后,移开本生灯,并记录第二次自燃时间及火焰熄灭后的炽红时间。


从测试规范以及要求限值来看,V0阻燃等级是高于HB,这也就是为什么新能源汽车行业会出现阻燃性V0要求之一。那么对于这样的要求,原本HB阻燃的材料就无法满足新的要求,必须采取措施提升阻燃性,最常见的方法就是增加阻燃剂。所以我们可以看到同样大类的材料,比如PPA,就有HB阻燃和V0阻燃不同牌号。在现阶段的技术水平下, 阻燃添加剂的副作用相比玻纤是巨大的,不仅拉伸强度和韧性会大打折扣(特别是熔接痕处),并且大部分阻燃剂在高温下易分解,释放出酸性物质,对金属具有腐蚀作用。
新能源汽车烧毁一直是备注关注的焦点问题,其带来的社会影响巨大,这在一定程度上推动了对行业内塑料零件阻燃性提高的重视。
回到我们要讨论的问题:新能源电驱系统需要V0阻燃吗?
只有在可燃物、助燃物、点火源三个条件同时具备的情况下,可燃物才能发生燃烧。对于电驱系统而言,密封等级一般IP67,内部零件以金属为主,从这个角度出发出发,电驱系统因材料阻燃性失效导致的的严重度、频度、探测度都是比较低的。当然对于设计而言,是精益求精的过程,没有最好的选择,只有更好的选择。
权衡价格、性能、制造、等多方面方面因素,在目前的阶段,我认为电驱系统技从工程角度来说是不需要把V0阻燃作为硬性要求,当然有V0能力那当然是最好的。
高压绝缘塑料特性—材料选型
塑料材料种类繁多,以巴斯夫塑料产品金字塔为例(不同公司,存在些许差异),多达40余种。

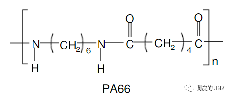
在电驱系统中常见有5种:PA6、PA66、PPA、PPS、PBT。

在分析这些材料的特性前,我们先看下各自的分子式。当然,在没有专业的知识或做相关的功课,必然是一头雾水。那么在一头雾水的情况下,如果需要选择一个你认为耐老化性能最好的材料,你会选择什么哪一个?(还记得前面遗留的问题吗:除了玻璃转化温度,还有一个参数直接影响材料的老化性能。我们放在后面进行讨论。)




大家可以试着选择,我们不卖关子,答案是第三个PPS。
PPS是聚醚类塑料,分子式给人的第一感觉就是刚的一塌糊涂,稳定的像个“龟壳”,这个“龟壳”就是苯,苯具有不同于饱和化合物的性质,不易加成、不易氧化、碳环异常稳定,这些性质总称为 芳香性(非极性或弱极性) 。
PBT也有一个“龟壳”,那应该也很稳定咯?是的,PBT学名聚对苯甲酸丁二醇酯,属于芳香族聚酯,也具有前面谈到的芳香性。
PA6、PA66就是我们生活中常常提到的尼龙类(聚酰胺俗称尼龙(Nylon))。如果说芳香性材料是“闷”的性格,稳重;那么尼龙就属于“开朗”的性格,兼容全面。
也许有读者发现了,前面谈到5种常见塑料,为什么只有4种分子式,还有一种呢?PPA去哪了?
PPA比较特殊,有时候又被叫做“PA6T”。PPA是以间苯二甲酸、对苯二甲酸、己二酸和己二胺之间缩聚形成的聚合物的 共混物 ,是一种半结晶性的 半芳香尼龙 。最常见的共混方式莫过于PA6T/66,既是芳香又是尼龙,所以PPA的综合性能非常优异,当然价格也不菲,毕竟是特种尼龙。
结合前面的分析,不知大家是否可以判断出上述5种材料耐油性和老化性的优越呢?
说了这么多,那么电驱系统绝缘结构零件该选什么材料呢?
这个是我当时在做绝缘零件一直在思考的问题,关于这个问题的答案,我们以电驱系统高压绝缘零件最常见的物理失效模式—开裂来说明。
对于开裂的直观理解就是 材料太脆 (断裂延伸率小),在温度交变和大应力作用下容易发生。因此材料的脆性是在绝缘结构设计选型过程中需要重点关注的参数。
前面谈到,尼龙的韧性天生优异芳香性材料,考虑到脆性失效,是不是不能用芳香性材料?
但前面又谈到尼龙的热稳定性是天生不如芳香性材料,考虑到老化失效,是不是不能用尼龙了?
这样的比喻或许有些极端,但之前问题的答案也就自然而然的出来了。
当材料无法更改,那么合理的结构设计是可以规避材料本身的不足。
当结构无法调整,那么合理的材料选型时可以规避设计的不足。
选型和设计是一个相互的工作。但有一点需要注意的是 ,没有绝对不能用的材料,只有不优秀的工程师。
站在这个角度,成为一个优秀的工程师是十分困难的。需要有丰富的行业经验,既需要了解设计也需要了解材料,这在短时间内估计是无法达到的,但这也应该是我们追求的目标。
实际工作过程中,我们也遇到过韧性好的零件开裂,也遇到过韧性不好的零件开裂。解决方法有很多,比如增加厚度就是一个不错的选择,当然更换一个韧性更好的材料也是比较常用的快速解决方案。
高压绝缘设计标准
接下来,我们来谈下高压绝缘设计标准。也就是前面谈到的那些参数限值多少问题。
关于电气间隙与爬电间隙,公众号“臭皮匠试验室”中的: 新能源电驱动系统标准解读与拓展:电器间隙与爬电距离, 对现有的国家/行业标准进行了系统的收集,大家可以参考。但需要注意的是,这些标准里的限值并不是硬性的指标,而是参考。
有些参数我们很容易根据系统工况进行限定,比如根据CAE分析对材料拉伸强度进行要求,根据系统最高温度对材料HDT进行要求 。但体积电阻率、介电强度、断裂延伸率等参数呢?
回到前面的材料脆性讨论,材料脆会导致开裂,但脆只是一个特性。多脆会导致失效呢?对于同一个大类,PPS通过增加添加剂可以提高韧性,而PPA增加添加剂后也可能会降低韧性,那么我们该如何去进行判断?
总结
电驱系统的高压化、轻量化的发展给塑料材料的应用提供机遇。作为电驱系统从业者,我们也明显的感受到,塑料离我们越来越近。但客观来讲,这个市场目前还是混乱的,并没有像传统领域的塑料发展的那么成熟。
从profibusDP转ModbusTCP,一网打尽转换技巧!