时间:2023-07-11 15:01
人气:
作者:admin
坐标变换是一种线性变换,如无约束,变换就不是唯一的。在电机的系统分析中,所应用的坐标变换可有两种约束:
(1)功率不变约束,即变换前后功率保持不变。
(2)合成磁动势不变约束,即变换前后合成磁动势保持不变
设在某坐标系统中各绕组的电压和电流向量分别为 *u * = [u 1 , u 2 , …, u n ]^T^和 *i * = [i 1 , i 2 , …, i n ] ^T^ ,在新的坐标系统中电压和电流向量变为 u '= [u' 1 , u' 2 , …, u' n ]^T^和 i ' = [i' 1 , i' 2 , …, i' n ] ^T^ 。新向量与原向量的坐标变换关系为:

由于变换前后功率不变,则 i ^T^ u *** = i '^T^ u 'Þi***^T^ u *** =(Ci i ') ^T^ (Cu* u ')= i '^T^C i ^T^Cu u ',从而

其中E为单位矩阵。上式就是功率不变约束下坐标变换阵需要满足的关系式。
在一般情况下,电压变换阵与电流变换阵可以取为同一矩阵,即令C u =C i = C *** ,则有C*** ^T^ = C ^-1^
由此可知,在功率不变约束下,当电压向量和电流向量选取相同的变换时,
变换阵的转置与其逆矩阵相等,这样的坐标变换属于正交变换。
至于合成磁动势不变约束,因为绕组电流与磁动势成正比,只要把电流的合成向量分别在新坐标系和原坐标系进行投影,就可以确定新向量与原向量之间的坐标变换关系。
三相-两相变换即指在三相静止坐标系a-b-c坐标系和两相静止坐标系α-β坐标系之间的变换,简称3/2变换或Clarke变换。
图 1 给出了A-B-C坐标系和α-β坐标系,为方便起见,取A轴和α 轴重合。设三相绕组每相有效匝数为N3,两相绕组每相有效匝数为N2,各相磁动势为有效匝数与电流的乘积,其空间矢量均位于有关相的坐标轴上。由于交流磁动势的大小随时间在变化着,图中磁动势矢量的长度是随意的

图1 三相和两相坐标系与绕组磁动势的空间矢量
设磁动势波形是正弦分布的,当三相总磁动势与二相总磁动势相等时,两套绕组瞬时磁动势在αβ轴上的投影都应相等,即

即

考虑变换前后总功率不变,在此前提下,匝数比应为

令C3/2表示从三相静止坐标系A-B-C坐标系到两相静止坐标系α-β坐标系的变换矩阵,则

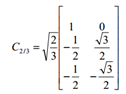
令C2/3表示从两相静止坐标系α-β坐标系到三相静止坐标系A-B-C坐标系的变换矩阵,则

按照所采用的条件,电流变换阵也就是电压变换阵,同时还可证明,它们也是磁链的变换阵。
在一些电机以及电力电子变换控制中,常为了实现计算方便,进行等幅变换,这样变换矩阵为

即

逆变换(正变换的逆也为其转置)为

即

即

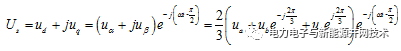
下面举例看下变换前后的关系,如

变换为


图2 αβ轴上电压波形(uα,uβ分别黄色和粉色,(幅值与abc均相等,β滞后α轴90°))
若

变换为


图3 αβ轴上电压波形(uα,uβ分别黄色和粉色,(幅值与abc轴均相等β超期α轴90°))
3、2s/2r变换
两相-两相变换即指在两相静止坐标系αβ坐标系和两相旋转坐标系dq坐标系之间的变换,简称2s/2r变换或Park变换。
给出了两相静止坐标系αβ坐标系和两相旋转坐标系dq坐标系。图中,两相交流电流iα, iβ和两相直流电流id, iq产生同样的以同步转速ω1旋转的合成磁动势Fs。由于各绕组匝数都相等,可以消去磁动势中的匝数,直接用电流表示。但必须注意,这里的电流都是空间矢量,而不是时间相量。

图4 两相和两相坐标系与绕组磁动势的空间矢量
dq轴和矢量Fs都以转速ω1旋转,分量id, iq的长短不变,相当于dq绕组的直流磁动势。但αβ轴是静止的,α轴与d轴的夹角θ随时间而变化,因此is在αβ轴上的分量的长短也随时间变化,相当于绕组交流磁动势的瞬时值。由图可见,id, iq和iα, iβ之间存在下列关系

则两相静止坐标系变换到两相旋转坐标系的变换阵是:

两相旋转坐标系变换到两相静止坐标系的变换阵是:

电压和磁链的旋转变换阵也与电流(磁动势)旋转变换阵相同。
在电力电子变换中,常用两种:d轴与α轴位置相同,d轴滞后α轴90°。
第一种:d轴与α轴位置相同

其逆变换为

第二种:d轴滞后α轴90°

其逆变换为

若锁定与A相同相位(wt),则
第一种变换后,最终d = 0, q = -1.
第二种变换,最终 d = 1, q =0.
若锁定与A滞后90°(wt-pi/2),则
第一种变换后,最终d = 1, q = 0.
第二种变换,最终d = 0, q = 1.
三相-两相变换即指在三相静止坐标系A-B-C坐标系和两相旋转坐标系dq坐标系之间的变换,简称3s/2r变换。
3s/2r变换如下图所示,

图5 三相与两相坐标系变换空间矢量图
从三相静止坐标系A-B-C坐标系到两相旋转坐标系dq坐标系的变换式为

其反变换式为

第一种:d轴与α轴位置相同

其逆变换结构

第二种:d轴滞后α轴90°



其逆变换

从profibusDP转ModbusTCP,一网打尽转换技巧!