时间:2023-07-11 17:01
人气:
作者:admin
1
概述
西门子SINAMICS G120变频器选型样本上,可以看到两个通用技术数据:“功率因数λ”和“偏移系数cosφ”,它们都和变频器进线侧的功率因数有关。
功率模块PM240-2和PM250的功率因数、偏移系数截图如下:


图1-1 G120变频器的功率因数和偏移系数
其中功率因数λ为总的功率因数,由两部分组成:
对于进线侧采用二极管整流的变频器来说,偏移系数接近1,但谐波较大,基波因数相对较小,导致两部分相乘得到的总功率因数偏低。
2
整流电路
二极管组成的三相桥式整流电路拓扑如下:

图2-1 二极管三相桥式整流电路
在不同的供电电源相对短路容量(RSC: Relative Short-Circuit Power)情况下,上述整流电路的进线侧电流波形示意图如下:

图2-2 带2%进线电抗器的二极管三相桥式整流电路典型进线电流波形
该电流波形包含了较多的谐波,主要谐波次数包括5、7、11、13等。
主要谐波次数 h = 6k ± 1; (k=1,2,3...)
在三种不同电网阻抗下的谐波频谱图如下所示:

■RSC>>50
■RSC = 50
■RSC < 15
图2-3二极管三相桥式整流电路典型进线电流频谱图
RSC越大表明电网阻抗越小,越接近理想电源,此时电网电压不容易受到非线性负载的影响,电网电压谐波较小,而电网电流的谐波较大。
3
功率因数
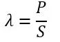
功率因数定义为偏移系数和基波因数的乘积:

其中g1为基波因数、cosφ为偏移系数。
另外一种等价的定义方式为:功率因数为有功功率和总的视在功率的比值。

其中P为有功功率,S为总的视在功率,包含基波有功功率、基波无功功率和谐波无功功率。在强电网的条件下,等价于如下等式:

3.1
偏移系数
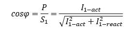
偏移系数定义为有功功率和基波视在功率的比值:

其中P为有功功率,S1为基波视在功率,包含基波有功功率和基波无功功率。
偏移系数体现了电路的基波电流与基波电压的相位差。当电流与电压的相位差越小时,其余弦值越接近于1.
对于二极管组成的三相桥式整流电路来说,当直流滤波电容及其负载在较大范围内变化时,基波电流与基波电压的相位差仅在接近于0的较小范围内变化,所以其偏移系数接近于1,基波功率因数较高。
3.2
基波系数
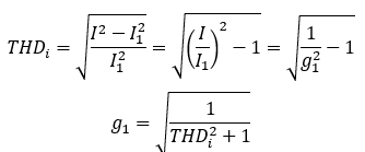
基波因数即基波电流与包含谐波的总电流有效值之比:

由图2-3可知道,二极管组成的三相桥式整流电路包含较多的5、7、11、13次等谐波电流,导致基波因数较低。
电流的总谐波畸变(THDi)经常作为一个衡量电网侧电能质量的重要指标,它与基波因数的关系如下:

4
总结
PM240-2功率模块的整流电路拓扑为二极管组成的三相桥式整流电路,虽然其基波功率因数较高,但由于进线侧电流含有较多的谐波分量,基波因数较低,导致进线侧总的功率因数较低。
从图1-1可见FSAFSC的PM240-2功率因数低于FSDFSG,这是由于FSDFSG集成了直流电抗器,而FSAFSC没有。直流电抗器能够减小交流进线侧的谐波电流,提高基波因数,从而提高总的功率因数。
PM250没有直流电抗器,但样本数据显示其功率因数高于PM240-2 FSA~FSC,这是由于PM250的直流母线电容值低于同等功率的PM240-2,而较小的直流母线电容值有利于减小进线侧电流谐波。
PM250的偏移系数为“0.95电容性”,表示其基波电流的相位略超前于基波电压,这是因为PM250进线侧有较多的滤波电容。
从profibusDP转ModbusTCP,一网打尽转换技巧!