时间:2022-08-15 09:58
人气:
作者:admin
言归正传,书接前文,传输线的基础知识有提到传输线的零阶或一阶模型,这都是基于理想情况下的模型。实际的信号在传输过程中是有损耗的,称之为有损传输线。仿真分析时,要在链路搭建的模型中加入损耗,以准确地预估接收的波形。总之,一句话,实际工作过程中,需要考虑损耗。
简单点,损耗的分类:

篇幅问题,本文重点讲导体损耗和介质损耗。
1.导体损耗
导线损耗是指信号路径和返回路径上的能量损耗,本质上它是由导线的串联电阻引起的。分为两种情况:直流和交流。
直流时,电流在信号导线中均匀分布,电阻为:

公式可以看出:信号感受到的电阻取决于导线传输电流时的有效横截面。
频率越高,由于趋肤效应的影响,电流流经的导线横截面就越小,电阻随着频率的升高而增加(一般来说,当频率变化时,铜和大多数金属的电阻率是相当恒定的)
导线的电阻近似为:

R表示线电阻(单位为Ω)
ρ表示导线的体电阻率(单位为Ω∙in)
Len表示线长(单位为in)
ω表示线宽(单位为in)
δ表示导线的集肤深度(单位为µm)
有两个概念需要延伸一下:
①公式中体电阻率也好,还是体电导率说的是材料的导电性。
由于物质内部存在传递电流的自由电荷,这些自由电荷通常称为载流子,他们可以是电子、空穴、也可以是正负离子。在弱电场作用下,材料的载流子发生迁移引起导电。材料的导电性能通常用与尺寸无关的电阻率或电导率表示。说到底,体电阻率或体电导率是材料导电性的一种表示方式。
②趋肤效应
对于直流而言,电流分布在导体的整个横截面上。但是到高频以后,电流分布变得不均匀。大部分电流会集中在导体表面附近,这种现象称之为趋肤效应。
趋肤效应跟实际工作的对接是:在PCB加工过程中,靠近介质那面的铜箔需要有一定的粗糙度,以产生附着力,连接介质层。
如果趋肤深度比铜的粗糙度小,则大部分电流将在铜的粗糙部分中传播(如下图所示),会导致串联电阻和导体损耗的增加。

趋肤深度其他知识这里就不展开了。后面有机会再讲。趋肤效应的理论之前认为理解了,最近有学习微波方面的理论,才有点贯通的感觉。
知识真是越学越不懂啊。
2.介质损耗
绝缘材料在电场作用下,由于介质电导和介质极化的滞后效应,在其内部引起的能量损耗叫介质损耗。
现实中的介质材料都有相应的电阻率。当电容器两电极平面之间填充实际材料并施加直流电压时,将有直流电流通过,称为漏电流。
微带线上下导体近似成两个平面,两导体之间材料形成的漏电阻:

流过这个电阻的漏电流为

I_leakage表示通过介质的漏电流
V表示施加的直流电压
R_leakage表示与介质有关的漏电阻
ρ表示介质的体漏电阻率
h表示信号路径与返回路径之间的介质厚度
漏电流是流过电阻器的,材料将消耗能量并造成损耗。流过介质的漏电流有两种方式:
第一种方式是离子运动,直流电流的机制。
第二种方式是材料中永久性偶极子重取向。电容器两端施加电压,电场的产生,使偶极子随机取向变得有规律性,看起来像短暂的电流流过介质。
外部场变化时,介质中永久性偶极子的重取向形成流过介质的交流电流

介质耗散因子
虽然集肤深度也用希腊字母δ表示,但耗散因子定义中的角度与集肤深度是相互独立,完全无关的。
tan(δ)所指的东西都不重要。它仅是一个材料特性,这一特性与材料中自由位移的偶极子数目和偶极子随着频率升高后位移的大小有关。
总结一下:

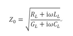
3.有损传输线的模型
既然实际工作中必须考虑损耗,不同于无损传输线的LC模型:

有损传输线模型引入了参数G加以表示,用漏电导代替漏电阻,使得表示有损传输线的4项都与线长成比例。
有损传输线为RLGC模型:

有损传输线的阻抗:

视频中,对比了无损传输线和有损传输线的眼图。传输线损耗是引起的上升边退化,而上升边退化是引起符号间干扰(ISI)和眼图塌陷的根源。
有损传输线的眼图,由于上升边的退化,少了高频分量,那么高频分量到哪里去了?传输线中的容性和感性突变只是反射,并不吸收能量。羊毛出在羊身上,高频分量最终被反射到源端,由各个端接电阻器或源端驱动器内阻吸收和消耗了。
审核编辑:刘清
从profibusDP转ModbusTCP,一网打尽转换技巧!