时间:2019-02-13 15:04
人气:
作者:admin
随着脉冲信号频率的越来越高及信号跳变沿(上升沿和下降沿)的越来越短,对脉冲信号传输完整性的分析就变的越来越重要。如何保证脉冲信号传输的完整性,减少信号在传输过程中产生的反射和失真,已成为当前高速电路设计中不可忽视的问题。
对脉冲信号传输几十米或者上百米距离的情况,根据高速电路设计理论引入了长线传输的概念,并对脉冲信号的传输特性进行了分析。为了保证脉冲信号传输的完整性采用了RS-485串行总线标准及跨接匹配电阻的电路方案,经过实验证明这里提出的方案切实可行且性能优越。另外该方案结构简单,成本低廉,对于近距离脉冲信号和高频率数字信号的传输有很大参考和使用价值。
1 传输线理论
1.1 长线传输定义
一般情况下脉冲信号的边沿谐波频率高于自身频率,其快速变化的上升/下降沿会导致信号在传输过程中出现非预期的结果。由高速电路设计理论定义可知,如果脉冲信号传输长度大于信号上升或下降沿时间对应有效长度的1/6时,就可认为信号的传输为长线传输。脉冲信号在长线传输中会出现明显传输延迟、衰减和振荡等影响信号完整性的问题,这就需要用传输线理论来分析。
1.2 脉冲信号的传输特性
传输线理论为分布参数电路理论,线上所有位置都由分布电阻R、分布电容C、分布电感L 和分布电导G 构成。
这些分布参数就决定了脉冲信号长线传输的传输特性。
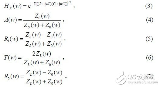
信号传输线的特性阻抗由传输线上入射电压与入射电流之比来表示,一般表达式为:

信号的传输延迟由传输线分布参数中的串联电感和并联电容来决定,单位长度传输线上的传输延迟d T 表示为:

脉冲信号在传输线上的整体传输情况如图1 所示,其中S Z 为源端阻抗, 0 Z 为传输线阻抗, L Z 为负载阻抗。

图1 脉冲信号在传输线的特点
图1 中( ) X H w 表示信号通过传输线的衰减函数; A(w)和1R (w)表示传输线源端的输入接收函数和反射函数;T(w)和2R (w)表示传输线终端的传输函数和反射函数,表达式分别如下:

由以上表达式可知如果传输线特性阻抗与源端阻抗和终端负载不匹配时,传输信号会在阻抗不连续处产生反射,反射信号会在终端和源端往返多次,直至衰减为零。信号的叠加就引起了传输信号的失真和振铃。
1.3 传输线分布参数的计算
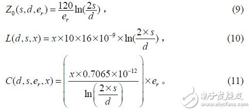
综上可知信号的传输特性主要由传输线分布参数来决定,只要确定了传输线的分部参数及源端和终端阻抗值,根据式(1-7)就能计算出信号的传输特性值。以双绞线为例,其特性参数的计算可按如以下公式计算:

式中d 表示传输线导体的线径,s 表示两线的线间距, r e 表示有效相对介电常数。对其余类型传输线分布参数的计算可以参阅文献[5-6]计算得到。
2 脉冲信号传输方案及实验测试
当脉冲信号传输较远距离的时候,为保证信号的传输速率及传输可靠性,采用了RS-485 串行总线标准来驱动、接收信号。
2.1 RS-485 总线标准
RS-485 标准是基于单对平衡线的多点、双向通信链路,提供了高噪声抑制、高传输速率、长传输距离、宽共模范围和低成本的传输平台[7]。该方案采用符合RS-485 标准的MAX485 芯片来搭建驱动、接收电路,将其中一块芯片固定为发送,另一芯片固定为接收,两芯片对应的发送和接收端口用等长的双绞线连接。
2.2 脉冲信号的传输特性分析
脉冲信号在双绞线上的传输特性由其传输线分布参数及驱动芯片输出阻抗和接收芯片输入阻抗来决定的。
实际测得所用双绞线的线径d 为0.05 cm,s 为0.096 cm,r e 取介于线路绝缘体介电常数和空气介电常数(1.00)之间的常数2.5。由式(9-11)计算得双绞线的特性阻抗,每英寸的分布电感和分布电容为:

又可知MAX485 芯片驱动输出电阻约为50 Ω,接收端输入电阻大于12 kΩ。由公式(1-7)可以计算出传输线单位传输延迟d T 、传输线衰减函数H 及传输线源端和终端函数值A 、T 、1 R 和2 R 分别为:

取传输双绞线长度为65 m,脉冲信号幅度为+4 V。可以计算得到信号通过双绞线的延时为325.65 ns;信号到达接收端的幅度为4× AHT = 5.02 V ;产生的反射信号经衰减传输到达源端的幅值为22 4× AH R = 2.36 V。信号在源端还会继续反射,如此反复直至衰减为零。用示波器直接测MAX485驱动芯片输出与接收芯片输入口的波形如图2 所示。

图2 无端接时发送与接收芯片A 口的波形
其中时间轴档位为每格2 us,信号幅度档位为每格2 V。
可以读出输入脉冲信号幅度是+4 V,信号的传输延时约320 ns,接收端脉冲信号正向幅度为+5.3 V,负向幅度为-1.8 V。综上可知用示波器测得结果与理论分析基本一致。
当在接收端跨接100 Ω 电阻时,双绞线终端负载就近似为100 Ω,与传输双绞线的特性阻抗相匹配。此时可以计算得2 R ≈ 0 ,T ≈ 1 ,其余参数同上。保持传输双绞线距离和传输信号幅度不变,可以算得脉冲信号的传输延时为325.65 ns,接收端信号幅值为2.668 V,终端不产生反射信号。用示波器测发送芯片输出与接收芯片输入的波形如图3(a)所示,输入信号幅度+4 V,接收端信号延时约318 ns,幅度为+2.74 V;图3(b)为脉冲信号在电路发送端与接收端的信号波形,信号的传输延时为400 ns,其中在传输线上延时约320 ns,发送和接收芯片内部分别延时约40 ns,发送端和接收端脉冲信号幅度和脉宽保持一致。

(a) 发送与接收芯片A 口的波形

(b) 发送与接收端信号的波形
图3 双绞线终端接100 Ω 电阻时波形
综上可知对于脉冲信号经过长线传输,用输线理论进行分析是完全正确的。对脉冲信号在长线传输中产生的畸变和振荡,可以通过在传输线源端串接电阻或在终端并接匹配电阻的方法来消除传输信号在传输线两端的反射。
当收发两端距离较远或通讯速率较高时,还需要在传输线两端接偏置电阻,用来将传输线上无数据时的电平置0 电平,降低由于干扰或信号反射引起的接收端误操作。
3 结语
对于脉冲信号的长线传输,需要用传输线理论来分析其传输特性,通过改变传输线或端接匹配电阻等方法来保持信号传输的完整性。实验证明采用MAX-485 芯片组成的传输电路可以有效消除信号在传输中的衰减和干扰,通过端接匹配电阻可以很好的保持信号传输的稳定性和完整性。该方案结构简单,性能可靠,在实际应用中有很大实用和推广价值。
从profibusDP转ModbusTCP,一网打尽转换技巧!