光电技术在微小颗粒测量中的应用
介绍一种利用光学、电学及计算机接口原理,测量微小粒子的粒径及分布的方法。
关键词:激光;光电转换;接口技术
Appl
ica
tion of Optics and Electrics
Technology in Small Part
icle s Measurement
SUN Hao
(College of Electrical Engineering, University of Shanghai f
or Science and Technology, Shanghai 200093, China)
Key words: laser; optics and electrics conversion; interface te chnology
虽然测量微小颗粒的方法很多,如显微镜法、沉降法等,但是用光学的方法测量具有更多优点:
(1)由于光的透射性,可以实现非接触测量;(2)光电转换频响时间很短,且可与计算机配合使用;(3)对被测微小颗粒的物理特性(密度、粘度等)要求低;(4)适用固体、液体及气体。
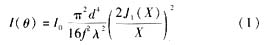
本装置用光学中光的夫琅和费衍射现象测量颗粒。根据夫琅和费衍射的理论,当一束平行光照射到测量区中的颗粒群时,便会产生光的衍射现象,因此,衍射光的强度分布与测量区中被照射的颗粒直径和颗粒数有关。图1是微小颗粒测量的示意图。

式中,I0为平行入射光强度;f为接收透镜的焦距;λ为入射光的波长;X=π
dsinθ/λ,θ为衍射角,当衍射角比较小时,sinθ=θ;J1为一阶Bessel函数。
从式(1)可知,在其他
参数不变的情况下,I(θ)的大小与被照射的颗粒的粒径d有一定的对应关系,粒径越大衍射光的强度越大。衍射图形与颗粒直径之间存在着完全确定的对应关系。由于我们所用的是光电
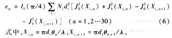
探测器,因此,对于光电探测器的第n环(设环半径从rn~rn+1对应的衍射角从θn到θn+1),其光能量为

实际测量区中的颗粒数往往很多,而且所有颗粒的粒径大小又不同。设颗粒直径为di,颗粒有Ni个,这时光电探测器每一环的衍射光能量为:
探测器有30环,对其中每一环都可按式(6)写出其衍射光能,e1、e2…e30。反之,如果光电探测器能探测到e1、e2…e30各环光能,就能算出与这个光能分布相对应的颗粒尺寸。以上所述就是用光的衍射理论,测量微小颗粒粒径及颗粒分布的方法。

本文介绍的应用光学、电学及计算机接口原理,研究微小颗粒粒径及其分布规律的技术有着广泛应用前景。