时间:2008-10-13 13:53
人气:
作者:admin
低压电力线载波通信的接口电路设计
摘 要:为了利用低压电力线实现可靠的载波通信,接口电路的设计是问题的关键。其难点在于:一方面,要求载波信号的加载效率高;另一方面,要求电力网50 Hz的工频信号不能给载波通信系统带来太大的干扰。为此,采用了“电磁耦合”与“阻容耦合”相结合的“复合耦合技术”,很好地解决了这一难题。基于这种“复合耦合技术”,分析并设计了“低压电力线载波通信的接口电路”。仿真结果和实验结果表明:该接口电路既有较高的载波信号加载效率,又能完全地隔离电力网50 Hz的工频信号。因此,该接口电路可广泛应用于低压电力线通信系统。
关键词:载波通信;低压电力线;接口电路;设计?
一、前言
电力线通信,简称PLC(Power Line Communication),是以电力网作为信道进行载波通信的一种有线通信方式。电力线载波通信与其他通信方式相比,能充分利用现有的电力线资源,即利用电力线进行通信,实现信息的传输。因而,电力线通信具有很好的开发前景和应用价值[1]。
最近,英国在电力线媒介开发方面取得了突破性进展,用户可通过电力线进入Internet网,它从简单的数据传输提高到了网络联接。法国已推出了电力线调制解调器集成电路,使住宅智能化产品向市场化方向进一步推进。电力线通信目前在欧洲(德国、英国、瑞典等)发展得较快。德国与英国是目前世界上唯一制定电力线通信规则的国家[2]。中国电力系统已组建国电通信中心,并向信息产业部正式申请了牌照。国家电力公司计划在2015年建成全国统一的联合电力网通信系统,其前景极其可观。
但是,低压电力线是一种通信环境非常恶劣的信道,有许多问题有待进一步研究[3]。低压电力线传送着220 V/50 Hz的电能,在低压电力线上并接了许多不同阻抗的用电器。低压电力线的这一固有特点,给低压电力线通信带来了很大的困难[4]。因此,低压电力线通信必须首先解决以下两个难题:
(1)电力网50 Hz的工频信号不能给载波通信系统带来太大的干扰;同时,考虑到整个通信系统的安全,必须进行强电隔离;
(2)低压电力线上并接的所有用电器的“统计载波阻抗”要高,以确保较高的载波信号加载效率。
上述问题,正是低压电力线通信的接口技术问题,下面从这两方面介绍其设计原理和实现方法。
二、接口电路的模型
根据低压电力线通信接口技术的要求:一方面,必须进行强电隔离;另一方面,要确保较高的载波信号加载效率。为此,必须采用“电磁耦合”与“阻容耦合”相结合的“复合耦合技术”,其接口电路模型如图1所示。
?

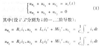
该电路的关键物理量是2个回路中的电流i1(t)和i2(t)。由基尔霍夫第二定律可得出该电路的数学模型:

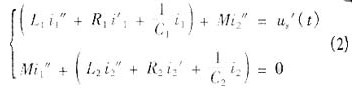
对(1)式,通过不同的处理将得到不同的数学模型。对图1所示的双RLC耦合回路进行去耦处理,得到2个独立的RLC串联回路。对(1)式求导,则可得到二元二阶方程组:

(2)式同时含有2个未知函数i?1(t)和i?2(t)的二阶导数,不便直接求解。
若将RLC串联回路表示成二元一阶方程,则由2个RLC回路便可得到四元一阶方程组:

该方程组含有4个未知数:i1(t),i2(t),
,
。其定解条件,直接由电路的初始储能情况给出,当无初始储能时,为齐次初始条件,即:

设所有电路元件都是非时变性元件,则所对应的常系数线性一阶常微分方程组,可转化成线性代数方程组进行求解。?
三、接口电路的实现
根据上述的理论分析与建立的数学模型,可设计出低压电力线通信发送端的接口电路,如图2所示。?
?

在发送电路中,三极管Q1和变压器T1组成调谐功率放大电路。这里谐振变压器T1有着双重作用:一方面,耦合载波信号;另一方面,使通信电路与220 V/50 Hz的强电隔离。在Q1和前级运放之间通过一个电路R1耦合载波信号,这个电阻还可避免后级电路产生自激振荡,此电阻的另一功能是增加放大器的负载阻抗。
前级运放输出的信号经R1输入到功率放大管Q1,再经Q1和谐振网络组成的单调谐放大器放大耦合到交流电力线上。其调谐回路的谐振频率应满足:

若将中心频率选在460 kHz[5],电容取值为22 nF,经计算可得电感L的取值在5.3 μH左右,即通过调节变压器初级绕组电感量来调节中心频率。
变压器T1将电力线与接口电路的其余部分相隔离,将发送信号送至电力线;从电力线上取接收载波信号;滤除来自电力线上的干扰噪声。
信号经L1、L2、C1、C2耦合至电力线上,C1、C2、L1、L2组成了带通滤波器,而低压电力线阻抗R具有时变特性。由此,可计算出C1、C2、L1、L2和低压电力线阻抗R组成的双口网络的电压转移函数:

四、接口电路的仿真
根据该接口电路的电压转移函数,对此双口网络进行了计算机仿真分析。这里,着重分析了在不同的低压电力线阻抗条件下,此带通滤波器的通频带,即该接口电路的频率特性。其频率特性是评价该接口电路耦合性能的一项重要指标。仿真显示了当电力线电阻为2 Ω、5 Ω、10 Ω、15 Ω、30 Ω、50 Ω、100 Ω时,通频带的情况,其频率响应曲线如图3所示。
?

从图3的分析结果可见:电力线阻抗越大,接口电路的通频带越宽,对信号的耦合性能就越好,但选择性差;电力线阻抗越小,接口电路的通频带越窄,对信号的耦合性能就越差,但选择性好。经统计分析得知,低压电力线的统计阻抗一般在5~15 Ω之间[6]。因此,所使用的429~503 kHz的信号均在通频带(衰减小于3 dB)范围内,也就是说,以460 kHz作为低压电力线通信接口电路的中心频率是合理的。一方面,满足了载波发射高阻抗的要求,提高了载波的加载效率;另一方面,在满足信号的耦合性能的同时,也兼顾了对频率选择性的要求,从而提高了系统的抗干扰能力。
在电路的具体安装和调试过程中,通过调节电感磁芯来调节电感量,使通频带达到最佳。电容选用22 nF/450 V,电感量在5~6 μH之间。
关于接收端接口电路的设计,其基本原理和分析方法是相同的,这里不再重述,而直接给出低压电力线接收端接口电路,如图4所示。图4中的二极管D1、D2起限幅作用,用来保护后续电路。??

通过实验,发射端接口电路和接收端接口电路都达到了设计要求。应用该接口电路进行低压电力线通信实验,取得了很好的通信效果。?
五、结论
基于“电磁耦合”与“阻容耦合”相结合的“复合耦合技术”,从理论上分析并建立了低压电力线载波通信的接口电路”的数学模型,由此设计了“低压电力线载波通信的接口电路”。仿真结果和实验结果表明,该接口电路既有较高的载波信号加载效率,又能完全地隔离电力网50 Hz的工频信号。因此,该接口电路可广泛应用于低压电力线通信系统。
从profibusDP转ModbusTCP,一网打尽转换技巧!