时间:2023-07-31 15:20
人气:
作者:admin
(一)
传输线可以等效为电阻,电感串联,电导,电容并联,如下图所示。

这个等效图,可以这样理解。
首先,这个图取的是传输线上无线小的一段,dZ,而传输线是由无数段这样的小段组成的。
以微带线为例,上层和下层导体,为做了表面处理的铜,而铜具有有限的电导率,所以为有电阻效应。
同时,微带线上层和下层导体之间形成的电流环路,会产生电感效应。
然后,上层和下层导体之间的介质,有介电损耗,等效为电导。
电容就很容易理解了,上层和下层导体,再加上中间的介质,妥妥的电容效应。
然后就利用基尔霍夫电压定律和基尔霍夫电流定律,就能得出下面的等式。基尔霍夫电压定律就是说闭合环路上的电压和为0;基尔霍夫电流定律就是说流入一个节点电流等于流出该节点的电流。

将式1和式2除以△z,并使得△z—>0,可以得到下式:

如果电压和电流都是时谐场的话,即都是电磁场随时间余弦或正弦变化,则电压和电流都可以用相量来表示。
即v(z,t)=Re{v(z)exp(jwt)},i(z,t)=Re{i(z)exp(jwt)}
相量表示时,式中没有exp(jwt)和Re{.},这是因为大家达成共识,不用写,但是实际上是有的。
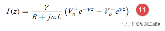
所以用相量表示后,上述中的式3和式4,即可得到:

然后把6式代入5式,即可得到式7;同样,把式5代入式6,即可得到式8。

式7和式8的解为:

如果把式9代入式5,可以得到:

与式10一对比,即可得到:

在很多实际应用中,传输线的损耗很小,可以被忽略,从而使得计算过程得到简化。
忽略传输线的损耗,即使R=G=0,
所以可以得到:

(二)
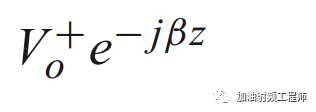
从上面得到的传输线上的电压和电流的表达式中,可以看到,电压和电流的表达式,都分为两个部分,一个沿+z轴传输的波,另一个沿-z轴传输的波,即一个入射波,一个反射波。
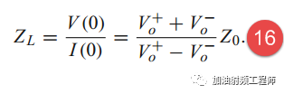
假设一个传输线,终端的负载阻抗为ZL,ZL为任意值,且假设负载的接入处为z=0处。

假设,从z<0处,有一个来自源端的入射波,形式为:

然后到达负载处,为产生一个反射波,此时传输线上的总电压,如式14和15所示。
z=0处,电压和电流的比值,即等于负载阻抗的值,即:

所以,传输线上的电压反射系数为:

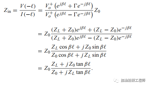
传输线上的输入阻抗为:

审核编辑:刘清
NVIDIA RTX PRO 4500 Blackwell GPU测试分析