时间:2024-07-19 11:21
人气:
作者:admin
IGBT功率器件功耗
IGBT等功率电子器件在工作中,由于自身的功率损耗,将引起IGBT温度升高。引起功率器件发热的原因主要有两个,一是功率器件导通时,产生的通态损耗。二是功率器件的开通与关断过程中产生的开关损耗。IGBT功耗主要由导通损耗和开关损耗构成,需要合理的IGBT散热装置将产生的热量散发出去,保证IGBT变流器设备的可靠运行。
(1) 功率器件导通时,由于自身的导通压降并不为零,于是将产生通态损耗。通态损耗主要与功率器件的导通压降、承载电流以及导通占空比有关。设功率器件的导通压降为Uon,则当器件通过占空比为D,电流幅值为IT的矩形脉冲时,平均通态损耗为

(2) 功率器件在开通与关断过程中,作用在其上的电压、电流波形可近似表示为图1所示形式。功率器件在开通时不能瞬间完全导通,逐渐下降的电压与逐渐上升的电流将产生开通损耗Pon。功率器件在关断时不能瞬间完全截止,逐渐下降的电流与逐渐上升的电压将产生关断损耗off。开通损耗Pon和关断损耗Poff的总和即是功率器件的开关损耗Ps。开关损耗主要与功率器件的承载电压、电流以及开关频率有关。

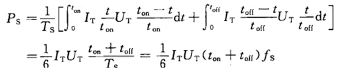
对于电阻性负载,依据图1(a)所示的波形,设功率器件截止时承载的电压为UT,开通时的电流为IT,开关的频率为fs,周期为Ts,则在一个开关周期内的平均开关损耗为

对于电感性负载,在电压、电流相同的情况下,功率器件的平均开关损耗要大干电阻性负载,一般认为其在一个开关周期内平均开关损耗为

开关器件的平均通态损耗Pc与平均开关损耗Ps之和就是开关器件总的功率损耗,它们将转化为热量而引起功率器件发热。
各种功率器件的核心均是半导体PN结,而PN结的性能与温度密切相关,为此,功率器件均规定了正常工作的最高允许结温Tjm。为了保证器件正常工作,器件工作时的结温应始终低于最高允许结温Tjm。但工程上能够测量到的结温实际上是功率器件外壳的平均温度,由于功率器件内部温度分布是不均匀的,可能会出现局部高于最高允许结温的过热点而使器件损坏。为此,在实际使用中,要降额使用器件的最高允许结温,且设备的可靠性要求越高,器件最高允许结温的降额的幅度就越大。如高可靠性商业设备中,功率器件的最高允许结温取130-150℃,军用设备取120-135℃,超高可靠性设备则取105℃。
功率器件的结温与器件自身的功率损耗、器件到外界环境的传热条件及环境的温度有关。由于功率器件的体积较小,其自身向大气环境的传热能力远低于自身功率损耗所产生的热量,为此,通常需在功率器件上加装散热器,以辅助功率器件将自身的热量散发到外界环境中。
加装散热器主要目的是实现热传输的平衡,使器件的发热率与散热率相等,器件的结温保持稳定。热传输与电传输有极大的相似性,遵从热路欧姆定律,即

式中,Tj,功率器件的结温;
TA,外界环境的温度,通常将外界环境的温度取值为25℃;
P,器件的功率损耗,即热流(W);
Rθ热阻(℃/W)。
上式表明,当器件的功率损耗P一定时,器件与外界环境的温度差Tj-TA同热阻Rθ成正比,即热阻越大,器件与外界环境的温度差就会越大,也即功率器件的结温就会越高。功率器件的参数表通常给出器件的PN结到外壳的热阻Rθjc和PN结到大气环境的热阻Rθja两个参数,如功率MOSFET管IRF540参数表给出的PN结到外壳的热阻Rθjc=1℃/W,PN结到大气环境的热阻Rθja=80℃/W。这表明当IRF540不加散热器时,仅凭器件自身散热,其与大气环境的热阻为Rθja=80℃/W,当器件的功率损耗为1W时,器件与外界环境的温差就将达到80℃。然而,如果能通过加装理想的散热器,使外壳与大气环境的热阻为0,则当器件的功率损耗为1W时,器件与外界环境的温差就仅为1℃。
龙腾半导体SGT MOSFET LSGT085R018在智慧农业无