时间:2023-11-29 14:42
人气:
作者:admin
分析完阈值电压的机制后,下面我们重点分析一下MOS器件的电压、电流与阈值电压之间的关系。假设如图所示,栅极施加电压为
,沟道漏极施加电压为
。

理解MOS结构的IV特性,对理解IGBT其工作机制至关重要,所以这里我们做一下推导。
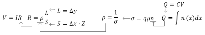
推导逻辑大致如下:根据欧姆定律,电压为电流与电阻的乘积,所以IV特性的桥梁就是电阻,想办法将电阻用IV表达出来,即可得到IV特性;电阻由材料的电阻率与几何尺寸所决定,所以关键要先求出电阻率;
回顾微观电流那一章,电阻率是电导率的倒数,而电导率又是迁移率和电荷浓度的乘积;电荷浓度的积分是电荷密度;电荷密度与外加电压之间的桥梁是电容,至此,显然可以将电阻与外加电压建立起关系,并替换欧姆定律中的电阻,就可以得到IV之间的关系了。

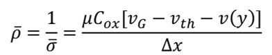
显然,推导过程中的关键是电导率。因为反型层中的电荷浓度不是常数,所以电导率也不是常数,因此可以先求解出
方向的平均电导率,

其中换算用到了,
,其中
为反型层的宽度,其物理意义是从栅氧界面到硅体中费米能级与本征能级重合位置的距离;定义
为电荷密度,显然
与外加电压的关系是,

其中,
是栅氧的单位电容,其定义见前一节;
为阈值电压;
为
点的电压。
因此电阻率表达为,

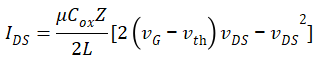
进一步地,在
尺度内的电阻
,

所以,

分离变量,并在
方向上积分,

积分后的结果为,

这就是MOS结构的IV特性表达式。从这个表达式中可以大致有以下几个结论:
几何尺寸上,MOS电流与沟道深度和宽度相关,但与反型层的深度无关;
栅极,电容越大,电流越大,即栅氧厚度越小,电流越大;
电流与迁移率成正比;
电流与外加电压
不是线性关系,显然存在最大值
,即当
,

这个电流通常被称为MOS的饱和电流。
需要注意的是,当
,
表达式不再成立,即
不会随着
的进一步增大而减小,因为当
时,沟道已经夹断,当
进一步增加时,沟道长度
会减小,使得
增大。所以当
达到饱和电流后,随着
增大而基本维持恒定值。
龙腾半导体SGT MOSFET LSGT085R018在智慧农业无