时间:2023-11-29 15:13
人气:
作者:admin
根据施敏教授的拆分理论,器件由4个基本单元组成。

根据该理论,IGBT用到了3个基本单元:(a)金属-半导体界面,(b)pn结(d)金属-氧化层-半导体结构。
以下仅对(b)pn结进行展开。
pn结最重要的参数为 内建电势 (built-in potential)Vbi,公式如下:

其中,KT/q=0.0259(300K),NA/ND分别为P/N型掺杂浓度,ni为本征掺杂浓度。
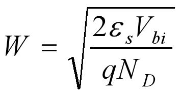
耗尽层宽度公式如下(当NA>>ND时):

当增加电压偏执V后,耗尽层宽度公式如下:

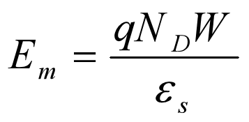
PN处最高场强公式如下:

全文完,客官们轻拍!
并没有达到想到的目的,待后续更新;
pn结作为基本单元,是玩器件的基础。花点功夫,费点心思在上面是很值得的!!!

下一篇:PN结对IGBT器件的重要性
龙腾半导体SGT MOSFET LSGT085R018在智慧农业无