时间:2023-11-29 15:16
人气:
作者:admin
IGBT与功率MOS最大的区别就是背面多了一个pn结,在正向导通时,背面pn结构向N-区注入空穴,使得N-区的电阻率急剧减小(即电导调制效应)。
因此理解pn结对我们了解IGBT至关重要!
如下对pn结的IV特性展开全面阐述。
pn结最重要的特性为 整流特性 ,即正向导电,反向阻断。
如下仅考虑p+n单向突变结。

pn结I-V特性公式如下:

Js定义如下:

其中ND/NA分别为施主/受主浓度;Dp/Dn分别为空穴/电子扩散系数,τp/τn分别为空穴/电子寿命。
当电压为正时,pn结I-V特性简化如下:

当电压为负时,pn结的I-V特性简化如下:


当电压为正时,电压每增大60mV,电流增大10倍。
以上仅考虑扩散流(diffusion),
当考虑 产生(generation)-复合(recombination) 后,pn结I-V特性公式如下:
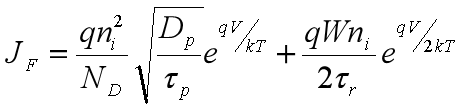
当电压为正时,电流由扩散和复合组成,pn结I-V特性简化如下:

当电压为负时,电流由扩散和产生组成,pn结I-V特性简化如下:

需注意的是,高温下,扩散流(公式第1项)占主导,主要表现为反向漏电流JR饱和。
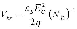
还有一个最最重要的公式为pn结的击穿特性,公式如下:

常温下,硅临界击穿场强见下图:

小江对典型掺杂进行了提取,结果如下。

上一篇:IGBT器件的灵魂
龙腾半导体SGT MOSFET LSGT085R018在智慧农业无