时间:2023-12-01 10:17
人气:
作者:admin
在前面关于PIN&MOS模型分析中,特别强调了这个模型所存在的一个短板,即所有电流都通过MOS沟道,实际上只有电子电流通过MOS沟道,而空穴电流则通过p-base。
以MOS驱动的PNP晶体管(BJT)模型则可以对这个问题进行修正,更准确地分析IGBT工作机理。

如图所示,回顾前面章节中关于PNP和MOS结构的讨论,想象将IGBT切分成MOS和PNP晶体管,那么MOS的源极与PNP的集电极相连接,MOS的漏极与PNP的基极相连。
与独立的MOS和PNP结构不同之处在于,MOS的漏极与PNP的基极没有独立的外接电极接口,正如图中虚线所示。
电子电流通过MOS沟道,形成PNP的基极电流,使得PNP晶体管导通。需要注意的是,IGBT的集电极和发射极与PNP的命名方式相反。
下面我们来分析一下基于BJT&MOS模型的IV特性。回顾本章第一小节基于PIN&MOS模型所推导出的IV特性表达式,如下:

表达式中的第一项为PIN压降,第二项为MOS沟道压降。因为
,且电子电流和空穴电流经过PIN的部分,两种模型并无差别,所以第一项不用调整。第二项则需要将
替换为电子电流
。
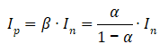
回顾“IGBT中的若干PN结”一章中对于PNP增益的分析,定义
为共发射极的电流增益,共基极电流增益为
,那么

所以,电子电流
与总电流
关系为,

将上面
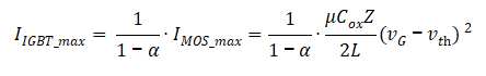
表达式中MOS沟道电流替换成
,即得到基于BJT&MOS模型的IV特性。

因为MOS沟道压降多了
系数,显然结果应小于PIN&MOS模型。
举例:基于PIN+MOS模型,假设IGBT芯片厚度100μm,沟槽宽度1.5μm,沟道深度3μm,栅氧厚度120nm,载流子寿命5微秒,阈值电压为5V,栅极施加电压为15V,电流增益
=0.5,我们比较一下基于PIN&MOS模型和基于BJT&MOS模型的IGBT的IV特性曲线,计算结果如下图所示:

其中蓝色曲线是基于PIN&MOS模型得出的IV特性,而红色曲线则是基于BJT&MOS模型得出的IV曲线,显然后者的压降更低。同时黄线为PIN部分的导通压降,随着PNP增益
的增大,MOS部分的电压降低,IGBT的IV特性逐渐向PIN特性趋近。所以,增大PNP的电流增益可以有效降低IGBT的导通压降,但同时会牺牲掉一些其他特性,如饱和电流会随
增大而快速上升,导致其短路耐受能力大幅下降。
因为MOS沟道电流存在一个饱和电流值,所以IGBT也自然存在一个饱和电流值,它们之间的比例也应该是
的关系,即

龙腾半导体SGT MOSFET LSGT085R018在智慧农业无