时间:2023-12-01 13:48
人气:
作者:admin
在稳态部分的分析中,我们详细地推演了电子电流、空穴电流、总电流以及各电压构成部分与多余载流子浓度分布之间的关系,即一维空间的物理关系。
接下来,我们引入时间变量
,进入瞬态部分的分析。
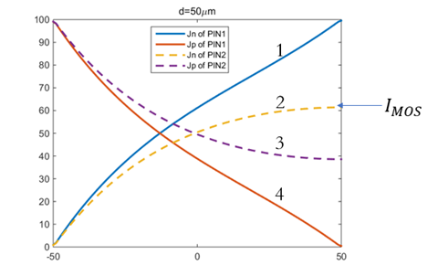
当外部栅极控制电压
降低到阈值电压
以下时,MOS部分的沟道立即闸断,相应的电子电流变为0,借鉴《电流与电荷分布的初步分析1》中的插图,即图中
瞬间衰减为0,那么总电流就只剩下如图2、3、4三个部分。
假设这个变化的时间为
,变化前后的总电流记为
和
,描绘总电流在
时刻发生突变。
显然,
,下一节我们会具体地讨论
和
的关系。


推演电流和电压随时间的变化关系的大致逻辑是:电流
是器件内部电荷总量
在时间维度为微分
,电荷总量
是载流子
的积分,
可以通过连续方程求解得出,其边界条件为非耗尽区两端的电荷浓度,即
和
,求解方法参考前面稳态部分。
与稳态部分不同的是,
随时间变化,记为
,其中
是base区宽度,
是耗尽区宽度;
是固定值,
随外加电压
变化,根据泊松方程,

由此,根据稳态部分的边界条件,我们就可以准确地推演出关断瞬态过程中
和
的关系。下面,我们根据上述逻辑,逐步展开分析,首先看电荷总量
随时间的变化。
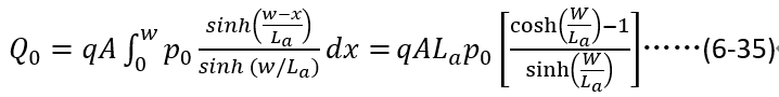
假设
时刻为0时刻,先求解
的初始值
,这可以通过对稳态下
的积分得到,即对(6-10)进行积分,

其中,A为芯片面积。分子利用
,分母利用关系
,(6-35)可以进一步简化为,

接下来,我们建立
与电流初始条件
之间的关系,根据(6-36),即要建立
与
之间关系。
在稳态分析中,我们分别基于PIN模型和BJT模型建立了
和电流密度
之间的关系(
),这里应该使用哪一个模型的结论呢?如稳态部分所分析,这取决于
还是
,而这又取决于电子的载流子寿命,及其对应的扩散长度。
当扩散长度大于BJT的基区宽度时,那么电子可以扩散到BJT的发射极,那么显然
,应采用BJT模型的结论;反之,电子无法扩散到BJT的发射极,那么
,应采用PIN模型的结论。
为简化后面的运算,这里我们采用基于PIN模型的结论(采用BJT模型也可以,但是
和电流密度
之间的关系就需要通过求解(6-21)来得到,相对复杂,但逻辑相同),即(6-11)所描述的
和电流密度
之间的关系,再乘以芯片面积:

将(6-37)带入(6-36),即可得到
与电流初始条件
之间的关系,并化简,


根据(6-38),我们看看初始电荷总量随稳态电流以及载流子寿命之间的变化关系。显然,在稳态电流值确定的情况下,初始电荷总量随载流子寿命增加而趋向饱和。
龙腾半导体SGT MOSFET LSGT085R018在智慧农业无