时间:2023-12-01 14:06
人气:
作者:admin
至此,我们完整地分析了关断瞬态过程中IGBT内部的空穴浓度分布变化从而引起的电荷存储变化,而电荷对时间的变化率即对应电流。(6-47)是通过泰勒展开的一阶近似得到的结果,而瞬态实际过程中需要更为精确的空穴浓度分布,才能获得精确的电压波形,下面我们对(6-47)进行修正。
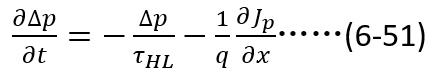
首先,根据电荷守恒原则,先写出空穴的连续性方程如下(空穴的变化等于体外流入的电荷与体内复合的电荷之和):

将(6-6)对
求导得到
,并代入(6-51),同时考虑到
1.IGBT器件内部电流处处相等,即
,
2.大注入
,化简即可得到双极型扩散方程,

其中
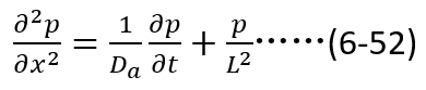
。将(6-47)对时间求导,然后将(6-48)代入其中可以得到
,

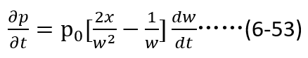
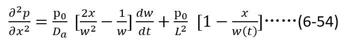
将(6-47)和(6-53)代入(6-52)得到扩散方程变形如下,

注,上述表达式中
的变量。
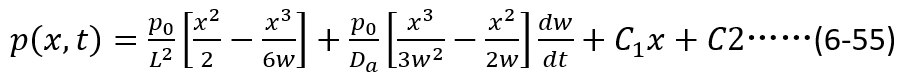
将(6-54)对
两次求积分,即可得到
修正表达式如下:

系数
和
可以通过边界条件,
以及
计算得到,如下,

若将(6-56)代入(6-55),并分离
和
后可以得到
对比(6-47),显然(6-57)多了一些修正项。在某时刻
,若对(6-57)从
积分,再乘以
,则可以得到瞬态过程中更为准确的电荷总量,积分过程略去,结果如下,

对照(6-49),(6-58)多了一个修正项
,一般情况下,
,那么(6-58)就趋近于(6-49)了。
由此可以看出,空穴电荷浓度分布既与基区宽度
有关,也与基区宽度随时间的变化率
有关;而电荷总量则只与基区宽度
有关。
更进一步地,只要准确得知
与
的时间维度表达式,那么就可以得知任意时刻的电荷浓度空间分布以及该时刻的电荷总量与时间的关系,当然这就与外围拓扑电路相关,要得到具体的时间表达式,就需要针对不同的拓扑单独讨论。
龙腾半导体SGT MOSFET LSGT085R018在智慧农业无