时间:2023-12-01 14:02
人气:
作者:admin
可以看出,减小迁移率和载流子寿命,可以增大关断瞬间的电流突变率。
同样地,如稳态分析中一样,若要精确地考虑BJT模型,
应参考的表达式应该是(6-19),相应的
,推演过程相似,在此不再赘述。
在关断过程中,非耗尽区宽度
会随着IGBT两端电压上升而减小,记为
。随着
变化,电荷分布的边界条件也就发生变化,那么IGBT内部存储的电荷总量并不是单纯地按照(6-40)的e指数关系衰减。
如图所示,在关断过程中,随着IGBT承受电压的增加,耗尽区扩宽,内部(
)区间的电荷,会快速被内建电场抽走,而非耗尽区
区域内的电荷则会按照前述逻辑按e指数衰减。

所以,这里我们必须动态地考虑两个因素:1.电压建立引入动态的
;2.动态
引起动态的
,然后在关断的过程中相互影响,直到完全关断,
变为0。
显然,上述变化会引起
变化,
不再是常数,而是随
变化的
,加入时间变量后,重新书写(6-10)空穴浓度分布如下:

将(6-46)从0到
积分即可得到实时的
。该积分过程较为复杂,考虑到通常情况下
的事实,例如,当
,
,
,而
,而且随着关断过程的进行,
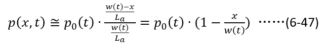
进一步减小,因此,我们可以通过对(6-46)做泰勒展开,并取其低阶一次项来简化运算。
(注,泰勒展开公式:sinh x = x+x^3/3!+x^5/5!+……+(-1)^(k-1)*(x^2k-1)/(2k-1)!+…… (-∞

将(6-47)绘成
与
的几何关系如图所示, 不难推导出
与
的变化率关系为(感兴趣的读者可尝试自行推导)


显然
时刻三角形所包围的面积就是该时刻总的电荷存储量
,即

反之,
时刻
处的边界条件与此时的
相关,

从(6-48)到(6-50),随着关断过程中电压上升,可以得出如下趋势性的结论:非耗尽区
越来越小,IGBT集电极区域的空穴浓度越来越高。
龙腾半导体SGT MOSFET LSGT085R018在智慧农业无