时间:2023-12-01 15:03
人气:
作者:admin
上一节我们建立了基区宽度与外加电压随时间的变化关系:

以及

电容变化关系:

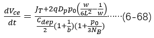
将(6-61)和(6-64)带入(6-62)并化简就可以得到
与
之间的关系如下

再根据
与
总电流的关系(6-6),即可得到瞬态过程中的IV关系。

根据(6-57)求导计算出
,再将(6-65)带入(6-66)替换
,可以得到,

再将(6-61)带入(6-67)消除
,以及将
带入(6-67)消除
,即可得到
与
的关系,

更进一步地,利用(6-58)中
与电荷总量
的关系,即可得到
与
的关系,进而得到电压与电流之间的关系。
不同
对应的
可参照(6-11)的PIN模型求解,不再赘述。
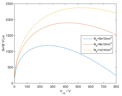
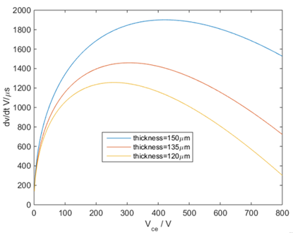
下面我们用一个简化的例子来分析一下dv/dt随不同物理量的变化趋势。假设1200V规格的IGBT,初始条件如下:芯片厚度为【150】μm,衬底掺杂浓度为【
】
,关断瞬态过程中母线电压为【800】V,载流子寿命为【10】 μs,感性负载,
达到目前电压之前,通过IGBT芯片的总电流(密度)保持不变,看dv/dt随电压、载流子寿命掺杂浓度、芯片厚度的变化情况,
1.不同载流子寿命对应的dv/dt变化趋势;
2.不同衬底浓度对应的dv/dt变化趋势;
3.不同衬底厚度对应的dv/dt变化趋势。(
与
关系采用(6-11)表达式计算)在这个案例中,可以看出如下几个趋势:
1.载流子寿命越小,dv/dt越大;
2.衬底浓度越大,dvdt越大;
3.芯片厚度越厚,dv/dt越大;
4.dV/dt不是随电压增长的单调变化,而是存在最大值。同时,电流大小对dv/dt影响不大,感兴趣的读者可以试着运算一下。

图1 不同载流子寿命对应的dv/dt变化趋势

图2 不同衬底浓度对应的dv/dt变化趋势

图3 不同衬底厚度对应的dv/dt变化趋势
至此,IGBT的关断瞬态分析就告一段落。
龙腾半导体SGT MOSFET LSGT085R018在智慧农业无