时间:2023-12-01 15:23
人气:
作者:admin
IGBT是要耐受高电压的,在《IGBT的若干PN结》一章中,我们从高斯定理、泊松方程推演了PN结的耐压,主要取决于PN结的掺杂浓度。
在之前的讨论中,我们并未考虑PN结的边界变化,即只考虑了PN结作为平面结存在的情况。
但在实际的IGBT结构中,PN结是存在边界的,如图所示,在一维方向,PN结的边界为曲面结;进一步地,在二维方向为柱面结,在三维方向为球面结。这种几何结构的改变,会导致PN边缘处的电场不同于芯片内部平面结的电场,因此无法承受高的电压。
这就是包括IGBT在内的高压功率半导体芯片需要引入终端耐压结构的原因。下面我们以二维柱面结为例,分一下柱面PN结与平面PN结在电场分布和耐受电压之间的差异。(本章只对引入终端结构的原因做分析,而不针对具体的终端结构做分析,这方面可以找到大量的文献资料。)
前面分析PN结耐压用的直角坐标系,显然分析柱面结使用柱坐标系更为方便。

将泊松方程]
变换为如图所示的
的柱坐标系,如下,

简化模型,认为PN结在
和
方向的扩散速度相同,即柱面结的界面为标准的1/4圆形,这种情况下显然(7-1)的第二项和第三项为零。
同时考虑
,(7-1)简化为

对(7-2)式积分,并利用边界条件:耗尽区边沿电场为零,即
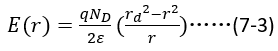
,可计算出柱面PN结耗尽区内任意位置的电场强度:

其中,
,表示空间电荷浓度。电场最大值出现在PN结界面处,即
,同时考虑到承受高电压时,耗尽区的宽度
远大于PN结深度
,所以电场峰值可以近似表达为:

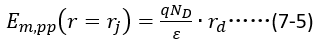
回顾《IGBT的若干PN结》,在平面PN结中,同样考虑耗尽区宽度为
,电场峰值的表达式为:

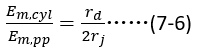
将(7-4)与(7-5)相比,就可以得出柱面PN结与平面PN结之间的关系,

因为
,所以相同耗尽区宽度的情况下,显然柱面PN结的电场峰值大于平面PN结的电场峰值。
即,在相同承压情况下,元胞过渡区PN结所承受的电场强度会明显大于元胞区,而且这个比值会随着耗尽区宽度的增加而增加,随着PN结深的增加而减小。
举例来说,对于1200V的IGBT来说,满额承压的时候耗尽区宽度大于100μm,一般元胞区的PN结深为3μm左右,那么过渡区的PN结电场强度比元胞区的平面PN结电场强度大30倍以上。
显然,必须对IGBT的过渡区做处理,降低柱面结所在位置的电场强度,才能承受高电压,终端结构的引入就是为了达到这个目的。
龙腾半导体SGT MOSFET LSGT085R018在智慧农业无