时间:2023-12-01 16:22
人气:
作者:admin
回顾《平面结和柱面结的耐压差异1》中柱面结的示意图,在三维结构中,PN结的扩散窗口会同时向x方向和z方向扩散,那么在角落位置就会形成如图所示的1/8球面结。

将泊松方程
变换为如图所示的
的球坐标系,如下,

考虑到球面结在
的掺杂浓度是一致的,仅随
方向改变,所以
、
均为零,(7-14)可以简化为,

将
和
(低掺杂N型区域),那么(7-15)又可以简化为,

同样利用边界条件:耗尽区边沿电场为零,即
,可计算出球面PN结耗尽区内任意位置的电场强度:

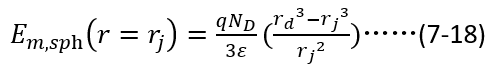
假设PN结的深度为
,那么最大电场显然也出现在PN结界面
,

同时考虑到承受高电压时,耗尽区的宽度
远大于PN结深度
,所以电场峰值可以近似表达为:

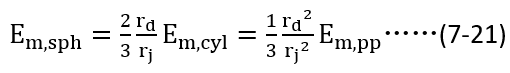
用(7-19)除以(7-4)即可得到球面结和柱面结在相同结深
、相同耗尽区宽度
情况下的峰值电场之比,

因为
,所以相同耗尽区宽度的情况下,显然球面PN结的电场峰值大于柱面PN结的电场峰值,当然进一步大于平面PN结的电场峰值。
将相同结深
、相同耗尽区宽度
情况下的平面结、柱面结、球面结的峰值电场写到一起,如下,

假设
,耗尽区宽度为
,那么柱面结峰值电场是平面结的3倍,球面结是平面结的12倍。随着耗尽区宽度
的增加,这个比值快速增加。
回顾碰撞电离率
的经验表达式(7-9),与电场强度的7次方成正比,因此球面结的
会远远大于柱面结和平面结,因此角落位置是IGBT最容易发生雪崩击穿的位置,这在设计中要谨慎,尽量避免球面结的出现。
下一篇:一阶带通滤波器电路图原理
龙腾半导体SGT MOSFET LSGT085R018在智慧农业无