时间:2023-12-05 18:04
人气:
作者:admin
整体思路
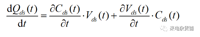
我们需要先将结电容与关断波形联系起来。三个结电容的容值是Vds电压的函数,同时,电压Vds的变化(dv/dt)又与结电容相关。在一定的时间里,两者的变化是相互耦合的,那么有什么物理量 去量化一个特定器件的关断特性呢 ?
高中物理知识告诉我们答案: 电荷量 。

考虑单独一个结电容的电荷变化即可。电容随时间变化,电压也随时间变化,但本质上在器件内部最具有物理意义的变化量是电荷量Q,它反映了在特定条件下,器件耗尽层中载流子的变化规律,同时也和宏观上的电流对应起来。
基于这种原因,我们可以对上述公式对时间t进行微分处理

我们知道,电荷对时间的导数就是电流。也就是说,在器件的开关过程中,流经结电容的电流可以分为两个部分:一部分用于改变结电容的容值大小,另一部分用于形成动态的电压变化。
如下图是一个MOS的关断波形。在A阶段,DS电压相对较低(例如0-30V),此时流经结电容的电流主要是在改变结电容的大小,而在B阶段,结电容随电压变化很小了,电流主要用于产生正向的dv/dt,让DS电压上升,形成关断。

因此,关注器件的开关特性,一定要同时关注结电容和电荷。一般datasheet会给出某一个具体条件下的上升下降时间,这个时间只能粗略地反映开关速度,在实际的应用中,结电容随电压的变化曲线和Qg曲线才能帮你最全面地认识这个器件的开关特性。
具体实例1 --区分感性负载和阻性负载
我们探讨过硬开关的过程,具体是以感性换流为例说明的。的确,电力电子的大部分应用领域,硬开关都是基于感性换流的,也就是说,常见的负载形式都是带二极管钳位的感性负载。但在一些场合,阻性负载也是存在的。
所谓阻性负载,就是指直接用器件控制电阻负载的接入与断开。下图是感性负载与阻性负载的模型示意图。

现在假设这两个电路具有相同的输入电压和相同的关断电流,那么这两种模型的关断过程会有哪些异同呢?
请看下面两张图,如果单独只看Vds的电压,你能分清哪一张是感性负载的关断波形吗?


答案:红色的波形是感性负载波形。
从Vds的波形看,红色的波形Vds电压快要达到母线电压的时候,其dv/dt的变化是相对缓慢的,因为这一段对应着上管(无论是续流二极管还是MOS)的Vds电压逐渐降至零,其寄生电容容值在低压段显著变大,而阻性负载是没有这种可变电容结构的。

举这个例子,是想向大家说明,器件的开关波形并非双脉冲测试给出的那样一成不变的。如果把教科书上的波形奉为圭臬,就很容易形成思维定势,陷入误区耽误项目进度。
具体实例2 --如何根据Datasheet进行开关器件的开关动态仿真?
需要准备的工具:
读点软件,Excel,Simplis仿真软件。
具体方法:
第一步:读取需要仿真的开关器件的电容曲线。

网上可以找到很多读点软件,这里我们就不详细讲解操作方法了。通过读点,我们可以得到电容容值与Vds的关系。
第二步:将得到的点导入到Excel,近似转换成Vds与电荷量的关系。

以Coss为例,我们得到了Coss的电荷量Qoss与Vds电压的关系,同样的方法可以得到Qiss和Qrss。Qoss,Qiss分别与Qrss作差,就可以得到实际的结电容Cds,Cgs的电荷随Vds的关系了,这种关系是可以导入到下一步的仿真模型里面的。
第三步:Simplis变电容MOS模型的建立
在Simplis仿真软件中的Place 工具栏可以找到 Simplis Primitives选项,其中就有可变电容模型PWL Capacitor。可变电容模型再结合Voltage Controlled Switch 模型,可以组合搭建出变电容MOS模型如下图。

其中,C1,C2,C3分别是MOS的Cds,Cgs,Cgd三个电容。
例如为了导入C1的电容电荷曲线,只需双击C1,把第二步中的电荷电压关系表格复制到编辑框中的表格区域即可。这样Cds的模型就建立了,另外Cgs,Cgd电容同理。

第四步:电路系统的搭建及仿真
结合自己需要仿真的电路类型,熟悉Simplis基本操作,自行搭建即可,这里我们就不具体引用了。
龙腾半导体SGT MOSFET LSGT085R018在智慧农业无