时间:2023-11-24 16:36
人气:
作者:admin
IGBT开关参数定义
通过双脉冲测试,可以得到IGBT的各项开关参数。

图1 IGBT开关参数定义
如图1所示,IGBT开关参数的定义如下:
开通延迟时间(td on):IGBT开通时,从栅极电压为Vge的10%开始,到集电极电流上升至Ic的10%为止,这一段时间被定义为开通延迟时间。
开通上升时间(tr):IGBT开通时,从集电极电流上升至Ic的10%开始,到集电极电流上升至Ic的90%为止,这一段时间被定义为开通上升时间。
关断延迟时间(td off):IGBT关断时,从栅极电压为Vge的90%开始,到集电极电流下降到Ic的90%为止,这一段时间被定义为关断延迟时间。
关断下降时间(tf):IGBT关断时,集电极电流从Ic的90%下降到Ic的10%为止,这一段时间被定义为关断下降时间。
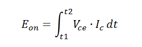
开通损耗(Eon):IGBT在一个单脉冲开启过程中内部耗散的能量。即对时间的积分,积分时间自集电极电流上升至Ic的10%的时刻起,至集电极-发射极电压下降至Vce的2%为止(不同厂商对该百分比有不同定义,这里参照英飞凌标准)。如图1所示,具体计算公式如下:

关断损耗(Eoff):IGBT在一个单脉冲中,关断过程中内部耗散的能量。即对时间的积分,积分时间自集电极-发射极电压上升至Vce的10%的时刻起,至集电极电流下降至Ic的2%为止(不同厂商对该百分比有不同定义,这里参照英飞凌标准)。如图1所示,具体计算公式如下:

双脉冲测试波形分析
1、IGBT开通波形分析

C1通道(黄线):Vce、 C2通道(紫线):Vge、 C3通道(蓝线):Ic
图2 IGBT开通波形
如图2所示为IGBT实测开通波形(二次开通时),需要关注的信息如下:
(1)Vce电压变化情况
在IGBT正常开通波形中,当Ic开始上升时,Vce略有下降(如图中橙线所示),下降到一定数值后保持不变,此时Vce的下降值由杂散电感Ls及di/dt决定,即

(可通过该方法计算线路的杂散电感大小);当Ic上升到最大值时,Vce开始迅速下降。
(2)二极管的反向恢复电流的di/dt
续流过程中di/dt由外部电路决定,反向恢复过程中的di/dt由二极管决定。
(3)二极管的反向恢复电流的峰值
二极管反向恢复电流的峰值决定了Ic的尖峰值的大小。
(4)电流拖尾震荡问题
观察反向恢复后电流是否有震荡,拖尾有多长。拖尾震荡情况将影响IGBT的实际使用频率。
2、IGBT关断波形分析

C1通道(黄线):Vce、 C2通道(紫线):Vge、 C3通道(蓝线):Ic
图3 IGBT关断波形
如图3所示为IGBT实测关断波形(第一次关断时),需要关注的信息如下:
(1)关断瞬间的电流值
实测过程中,通过对脉冲宽度的控制,使关断瞬间的电流达到被测IGBT的标称值,从而进行IGBT相关关断参数的测量与计算。
(2)Vce的变化速率
关断过程中dv/dt大小通常用于评估IGBT的性能,这个参数越大,说明能承受的增量越强。同时参数越大,IGBT器件应用时损耗越小,其能承受的工作频率越高。
(3)Vce的峰值
Vce的电压尖峰,是直流母线杂散电感Ls与di/dt的乘积,通过观察这个尖峰,可以评估IGBT在关断时的安全程度。Vce尖峰一般都客观存在,在短路或者过载时,这个尖峰会达到最高值,比正常工作时要高得多,通常可以使用有源钳位电路进行抑制。
龙腾半导体SGT MOSFET LSGT085R018在智慧农业无