时间:2023-10-21 10:55
人气:
作者:admin
在分析晶体管相关电路的时候经常会用到相关电阻的公式,这里做一些汇总,以便查阅。
二极管交流电阻
交流电阻等于伏安特性曲线相应的切线斜率的倒数:

根据下面的伏安特性方程

其中各参数说明如下:
对iD求导,可以求出切线斜率:

这样

说明电阻随着电流的增大而减小。
BJT交流电阻
双极性晶体管结构示意图如下:

体电阻rbb′, rcc, ree 一般忽略,所以主要看rb'e, rb'c, rce
下面直接基于两个基本公式进行推导(求导求斜率),自己推导一遍理解更深刻。也将教科书上面的间接推导方式放出,进一步加深理解。
两个基本公式:
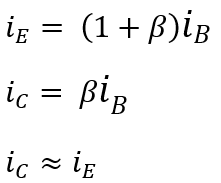
BJT大信号Ebers Moll方程:

电流关系:

将发射极到基极看作普通的二极管具有PN结,使用上面的公式得出re:

求电阻就是求电压电流之比,对应到电压电流曲线上的切线(导数)。这样基于上面的基本公式可以进行求导推导得出电阻。在推导过程中有时候适当使用近似公式。
注意对每个电阻的定义。另外静态工作电流表述IE或者IEQ都是指一回事情,可能混用。
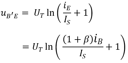
基区复合电阻rb'e
定义基区复合电阻rb'e为uB'E与iB的特性曲线切线斜率。
对发射结到基极的PN结,根据上面二极管的推导,可以得到这个PN结电阻公式re:

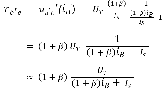
对rb'e可以求导得出。先做一下转换:

求导:

对特定点,iB用对应的IEQ静态电流替换/带入,参见放大电路中的直流负载线和交流负载线理解为什么能替换:

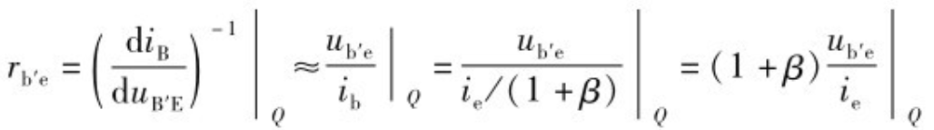
教科书上面的方法:

考虑到ub'e/ie就是小信号条件下发射结的正向偏置电阻re,由上面的PN结正向偏置交流电阻的估算公式:

所以:

由以上分析可以看出,rb'e是发射结的正向偏置电阻re折合到基极回路的等效电阻,反映了基极电流受控于发射结电压的物理过程,rb'e越大,ub'e产生的ib越小。从数值上来看,rb'e与发射极工作点电流IEQ近似成反比。其物理概念是:工作点电流较大时,发射结电压增量产生的iC和iB的电流增量都会增大,也即发射结的信号电压产生的ic和ib的信号电流会增大,即rb'e减小。
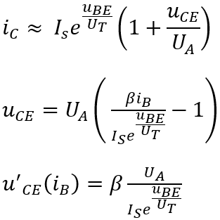
集-射极间电阻rce
定义集-射极间电阻rce为uCE与iC的特性曲线切线斜率:

用静态工作点化简:


即为:

教科书上面的方法:


由相似三角形法则:

由于厄尔利电压UA的典型值为100 V,在BJT的工作点Q(ICQ,UCEQ)上通常满足UA≫UCEQ,所以rce可近似估算为:

rce的大小反映了uCE在反偏集电结上的电压增量通过基区宽调效应(也称厄尔利效应)产生iC增量的大小。rce越大,iC受基区宽调效应影响越小,输出特性曲线越平坦,理想条件下输出特性曲线为水平线,rce→∞。一般当uBE一定时,iC受uCE的影响较小,rce的值较大,通常在几十千欧姆以上。
集电结电阻rb'c
定义集电结电阻rb'c为uCE与iB的特性曲线切线斜率:

用静态工作点化简:


教科书上的过程:

rb'c反映了反偏集电结电压的变化对基极电流的影响。rb'c越大,uce产生的ib 越小。由于集电结反偏电压增加时,根据前述的基区宽调效应,基极电流会减小,使得式(2-36)中的导数为负值,故rb'c取其绝对值。BJT在线性运用时由于集电结反偏,因此rb'c很大,约为100kΩ~10MΩ。
BJT的跨导gm

跨导gm反映了发射结电压uBE对集电极电流iC的控制能力。gm越大,则发射结电压增量产生的集电极电流的增量就越大。在小信号条件下,gm近似等于集电极电流的交流分量ic与发射结上电压的交流分量ub'e之比。将ic≈ie代入式:

MOSFET交流电阻
因为MOSFET栅极绝缘,所以相对来说简单一些。下面是几组基本公式:

当λ=0,不考虑沟道调制效应,即忽略uDS 对iD 影响:

MOSFET各种模型参数的典型值:

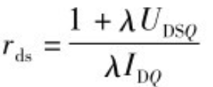
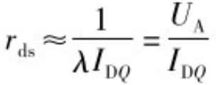
漏源动态电阻


当λUDS≪1时,且令Early电压为UA=1/λ,则:

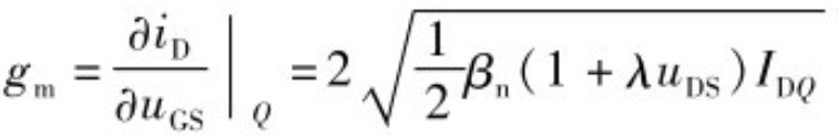
转移跨导gm
MOSFET是电压控制器件,栅极输入端上没有电流,故讨论它的输入特性是没有意义的。为了描述栅源电压uGS对漏极电流iD的控制作用,在输出特性的基础上引入转移特性的概念。所谓转移特性是指在漏源电压uDS为常数的情况下,栅源电压uGS对漏极电流iD的控制特性。
栅源电压对漏极电流的控制能力用跨导来反映,它相当于转移特性曲线工作点上的斜率。跨导gm是表征MOSFET放大能力的一个重要参数,单位为mS或μS。gm一般在十分之几至几mS的范围内,特殊的可达100 mS,甚至更高。值得注意的是,跨导随管子的工作点不同而不同,它是MOSFET小信号模型的重要参数之一。跨导数学定义如下:

当λuDS ≪ 1时:

换一种表达方式有:

可见,在βn为常数(W/L为常数)时,gm与过驱动电压(uGS -uGS(th))成正比,或与漏极电流ID的平方根成正比。
若漏极电流ID恒定时,gm与过驱动电压(uGS -uGS(th))成反比,而与βn的平方根成正比。所以要增大gm,可以通过增大βn(W/L)值,也可以通过增大ID来实现,但以增大W/L值最有效。
另外与双极型三极管(BJT)的跨导gm=IC/UT相比较可以看出:对于BJT管,当IC确定后,gm与几何形状无关,而MOS管的跨导gm除了可通过ID调节外,还和几何尺寸W/L的值有关;BJT的跨导gm与IC成正比,而MOS管的跨导gm与漏极电流ID的平方根成正比,因此在同样的工作电流情况下,MOS管的跨导要比双极型三极管的跨导小得多。
背栅跨导gmb
在集成电路中,为使各MOSFET管之间相互隔离,NMOSFET的衬底要接电路的最低电位,PMOSFET的衬底要接电路的最高电位,因此衬底和源极之间的电压uBS往往不等于零。通常把uBS对MOSFET特性的影响叫体效应或衬底调制效应,这是在MOS集成电路中必须考虑的问题。
开启电压值UGS(th)随衬底与源极间的负偏压数值的增加而增加,这种现象称为背栅控制特性。背栅控制特性反映了uBS(衬源电压或背栅电压)对iD的控制能力。定义如下:

背栅控制能力也可以用背栅跨导gmb与转移跨导gm之比来描述:
gmb = ηgm (η典型值一般约为0.1~0.3)
亚阈区跨gmsub
亚阈区导电特性是指uGS
亚阈区(用下标sub表示)的栅极跨导gmsubG :

源极跨导为gmsubS :

MOSFET交流小信号等效模型

BJT与MOSFET汇总

基本放大电路
共集与共基忽略了rce

某些情况下面忽略了rds

上一篇:运放741在显微镜下面的细节
下一篇:戴维南定理在放大电路中的应用
龙腾半导体SGT MOSFET LSGT085R018在智慧农业无