时间:2023-09-28 11:48
人气:
作者:admin
热电压Vt可以用式1表示为:

公式表明Vt与绝对温度T成正比(PTAT)。Vt在宽范围温度内是线性的。如果用PTAT 电流来偏置亚阈值区的MOS管,可以消除Vt对gm的影响。
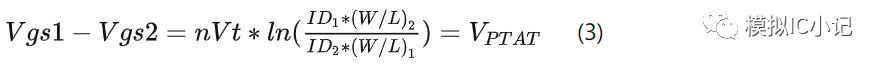
两个diode的电压差写为:

如果两个二极管的结面积A和电流 I 匹配并且其比例大于 1, 这个电压差就趋近于Vt,那么两个二极管的电压差是PTAT电压。我们已经知道工作在亚阈值区的MOS管其I-V特性类似于diode,那我们根据式2可以得出这样一个结论:

如果两个MOSFET的电流和宽长比匹配并且比例大于1,那么这个电压差近于 Vt,或者说,两个亚阈值区 MOSFET 的Vgs差值是PTAT电压。
此时,如果我们要得到一个PTAT电流,可以通过 VPTAT/R来得到。电阻R的温漂越小越好。
下图是一种常用的产生PTAT电流的常用结构:

电阻Rp上产生的电流可以表示为:

通常MP2与MP1的宽长比为4:1等。根据个人经验,MP2工作在亚阈值区时Vgt可为-50mV左右。如果在低压低功耗设计下这一个值甚至可达到-200mV。当然,这不是绝对的,基本就在这个范围左右。仅供参考!!!
上一篇:失调稳态放大器学习笔记(2)
下一篇:详解运放的失调电压Vos
龙腾半导体SGT MOSFET LSGT085R018在智慧农业无