时间:2023-09-22 15:48
人气:
作者:admin
14.1 阻抗突变处的反射
由于阻抗突变而引起的反射和失真会导致误触发和误码。这种由于阻抗变化而引起的反射是信号失真和信号质量退化的主要根源。
一些情况下,表现得像是振铃。引起信号电平下降的下冲可能会超过噪声容限,造成误触发。或者,一个动态低电平信号,其反向峰值也可能会超出低电平阈值,导致误触发。下图示例出短传输线末端由于阻抗突变而造成的反射噪声。

只要信号遇到瞬时阻抗突变,就会发生反射。这可能发生在线的末端,或者互连拓扑结构发生改变的任何地方,如拐角、过孔、分支结构、连接器和封装处。
为了得到最优的信号质量,设计互连的目的就是尽可能保持信号受到的阻抗恒定。
信号沿传输线传播时,其路径上的每一步都有相应的瞬时阻抗。如果互连的阻抗是可控的,瞬时阻抗就等于线的特性阻抗。无论什么原因使瞬时阻抗发生了改变,部分信号将沿着与原传播方向相反的方向反射,而另一部分将继续传播,但幅度有所改变。瞬时阻抗发生改变的地方称为 阻抗突变 ,或简称 突变 。

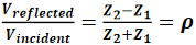
反射信号的量值由瞬时阻抗的变化量决定,如上图所示。如果第一个区域的瞬时阻抗为Z_1,第二个区域的瞬时阻抗为Z_2,则反射信号与入射信号的幅值之比为:

其中,V_reflected表示反射电压,V_incident表示入射电压,Z_1表示信号最初所在区域的瞬时阻抗,Z_2表示信号进入区域2时的瞬时阻抗,ρ表示反射系数。
两个区域的阻抗差异越大,反射信号量就越大。例如,如果1V信号沿特性阻抗50Ω的传输线传播,其受到的瞬时阻抗为50Ω,则当它进入特性阻抗为75Ω的区域时,反射系数为 (75-50)/(75+50)=20% ,反射电压为 20%×1V=0.2V 。
无论信号波形是什么形状,只要遇到交界面,波形的各个部分都有20%反射回去。时域中,波形可能是一个快速上升的边沿,倾斜的边沿,甚至是高斯边沿。同理,频域中,所有波形都为正弦波,每个正弦波都将反射,而且反射波的幅度和相位也可以从该关系式中计算得出。
通常,我们所关心的是反射系数ρ,它是反射电压与入射电压的比值。
在考虑互连上的信号时,判明其传播方向无疑是十分重要的。如果信号沿传输线传播时遇到阻抗突变,在突变处就会产生另一个波。这第二个波将叠加在第一个波上,但它是向源端传播的,其幅度等于入射电压的幅度乘以反射系数。
14.2 为什么会有反射
信号到达瞬时阻抗不同的两个区域(区域1、区域2)的交界面时,在信号-返回路径的导体中仅存在一个电压和一个电流回路。在交界面处,无论是从区域1还是从区域2看过去,在交界面两侧的电压和电流都必须相等。边界处不可能出现电压不连续,否则此处会有一个无限大的电场;交界面处也不可能出现电流不连续,否则会在此处产生净电荷。
假如没有产生返回源端的反射电压,同时又要维持交界面两侧的电压和电流相等,就需要关系式 V_1=V_2,I_1=I_2 。但是,又有 I_1=V_1/Z_1 , I_2=V_2/Z_2。 当两个区域的阻抗不同时,这4个关系式绝对不可能同时成立。为了使整个系统协调稳定,更直接地说,为了使整个系统不被破坏,区域1中产生了一个反射回源端的电压。它的唯一目的就是吸收入射信号和传输信号之间不匹配的电压和电流,如下图所示。

入射信号V_inc向交界面传播,而传输信号V_trans向远离交界面的方向传播。当入射信号试图穿越交界面时,产生了一个新电压,而且此新电压波形仅在区域1中向源端传播。在区域1中的任意一点,信号导体和返回导体之间的总电压是沿这两个方向传播的电压之和,即入射电压加上反射电压。
交界面两侧电压相同的条件为:V_inc+V_refl=V_trans 。在区域1中,交界面处的总电流由两个电流回路决定,它们的传播方向相反,而且回路方向也相反。在交界面处,入射电流的方向是顺时针的,反射电流的方向是逆时针的。如果定义顺时针为正向,那么区域1的交界面处的净电流为 I_inc−I_refl 。
在区域2中,电流回路是顺时针的,等于I_trans。分别从交界面两侧看去,电流相同的条件为I_inc−I_refl=I_trans 。传输系数为:

14.3 阻性负载的反射
在时域中信号对受到的瞬时阻抗十分敏感。第二个区域可以不是传输线,它可能是一个有相应阻抗的分立元件,如电阻器、电容器、电感器或它们的组合电路。
如果传输线的终端为开路,即传输线的末端没有连接任何端接,则末端的瞬时阻抗是无穷大。这时,反射系数为 (无穷-50)/(无穷+50)=1 。这意味着在开路端将产生与人射波大小相同但方向相反的返回源端的反射波。
如果观察传输线的末端,即开路端的总电压,就会看到它是两个波的叠加。幅度为1V的入射波向开路端传播,另一个是幅度为1V的反射波,沿着相反的方向传播。测量开路端的电压,得到这两个电压之和,即2V。
第二种特殊情况是传输线的末端与返回路径相短路,即末端阻抗为0。此时,反射系数为 (0-50)/(0+50)=-1。 1V入射信号到达远端时,将产生-1V反射信号,它沿传输线向源端传播。
短路突变处测得的电压为入射电压与反射电压之和,即 1V+(-1)V=0 。这是合理的,因为如果此处是严格意义上的短路,那么短路段上不可能有电压。此处电压为0的原因就是它是从源端出发的正向行波和返回源端的负向行波之和。
最后一种特殊情况是,传输线末端所接阻抗与传输线的特性阻抗相匹配。如果传输线的末端连接有50Ω电阻器,则反射系数为 (50-50)/(50+50)=0 。此时不会存在反射电压,50Ω终端电阻器上的电压仅是入射信号的。
如果信号受到的瞬时阻抗没有改变,就不会产生反射。在末端放置50Ω电阻器,可以使终端阻抗与传输线的特性阻抗相匹配,从而使反射降为零。
14.4 驱动器的内阻
信号进入传输线时,驱动器总存在内阻抗。对于典型的CMOS器件,其值在5~20Ω之间。而早期的晶体管-晶体管逻辑门(TTL),其值高达100Ω。源阻抗对进入传输线的初始电压和之后的多次反射都有重要的影响。
当反射波最终到达源端时,将驱动器的源输出阻抗作为瞬时阻抗,这个源输出阻抗的值决定了从驱动器再次反射回远端反射波的情况。

如果驱动器使用的是SPICE或IBIS模型,就可以从几次仿真中提取出驱动器的输出阻抗估计值。假设器件的等效电路模型为理想电压源与源内阻的串联电路,如上图所示。当它驱动一个高阻抗时,就可以得到这个理想电压源的输出电压。如果在输出端接一个低阻抗,例如10Ω,测量在端接电阻器上的电压V,就能反求出驱动器的源内阻,即:

其中,R_S表示驱动器内阻,R_t表示接在输出端的端接电阻器,V_o表示驱动器的开路输出电压,V_t表示端接电阻器上的电压。
另外一种方法就是改变负载电阻值,直到负载输出电压恰好等于空载开路输出电压的一半时为止。这时,驱动器的源内阻就等于负载电阻。
14.5 反弹图
进入传输线的实际电压(即入射电压)是由源电压、内阻和传输线输入阻抗组成分压器共同决定的。
如果已知传输线的时延TD、信号通过各区域的阻抗和驱动器的初始电压,就可以计算出每个交界面的反射电压,也可以预估出任意一点的实时电压。


上图有如下两个重要的特性:
第一,远端的电压最终逼近源电压1.2V,因为该电路是开路的,所以这是必然的结果,即源电压最终是加在开路端的。第二,开路处的实际电压有时大于源电压。高出的电压是怎么产生的?它是传输线结构共振的一个特征。没有所谓的电压守恒,只有能量守恒。
14.6 传输线及非故意突变
只要信号受到的阻抗有改变,就必然有反射产生,而且反射对信号质量有严重的影响。预估阻抗突变对信号的影响,选择合适的设计方案,是信号完整性工程的一项重要内容。即使设计电路板时采用可控阻抗互连,在以下场景,信号仍会遇到阻抗突变:
突变引起的信号失真程度受两个最重要的参数的影响:信号的上升边和阻抗突变的大小。电感器和电容器的瞬时阻抗取决于变化中的电流或电压的瞬时变化率及其L和C的值。当信号通过电路元件时,电流和电压的变化率随时间改变,所以元件的阻抗也随时间变化。这意味着反射系数随时间及信号上升或下降边的特性而变化,反射电压峰值会与信号上升边的长短呈现出一定的比例关系。总之,除了突变,驱动器的阻抗、传输线的特性阻抗也会影响反弹。
任何阻抗突变都会引起部分反射和信号失真。设计一个绝对没有反射的互连是不可能的。多大的噪声是可容忍的?多大的噪声是过量的?这些问题在很大程度上取决于噪声预算,其中又为每个噪声源分配了多大的噪声电压分量。一般而言,噪声预算要求越严,解决方案就越昂贵。
通过一些简单的情况可以了解哪些物理因素会影响信号失真度,以及怎样在产生问题之前就从设计中发现并解决它们。一般而言,设计可行性的最终评估必须由仿真结果加以确认。对于每一个关心信号完整性问题的工程师而言,能够方便地使用仿真器对某种情况进行分析是非常重要的。
上一篇:介绍三种恒流电路的原理图
龙腾半导体SGT MOSFET LSGT085R018在智慧农业无