时间:2023-06-12 10:07
人气:
作者:admin
NF 指标使我们能够表征 RF 组件和系统的噪声性能。进行准确的 NF 测量的能力可以为芯片制造商带来巨大的美元价值,因为需要准确的测量来保证优质产品真正满足指定的噪声性能,从而可以高价出售。因此,当我们发现数十年来为改进噪声系数测量方法进行了大量研究时,我们应该不会感到惊讶。一种流行的技术是 Y 因子方法,这是本文的重点。
使用双端口设备进行噪声系数测量
考虑一个连接到源电阻 R 的双端口设备,温度为 T,如下图 1 所示。

图 1.连接到源电阻的双端口设备图。
总输出噪声 No与源电阻温度 T 的关系如图 2 所示。

图 2.显示总输出噪声与源电阻温度的关系图。
如果 RS是无噪声的——即 T = 0 K——出现在输出端的唯一噪声将是被测设备的噪声,用 No(added)表示。当我们提高 R S的温度时,它的噪声贡献会增加。求出器件的噪声系数,其实就等同于求出上面的“噪声线”。指定直线有两种方法:通过位于直线上的两个点;或通过一个点和直线的斜率。Y 因子方法实际上测量噪声线的两个点,并使用该信息来找到被测设备 (DUT) 的噪声因子。另一种噪声系数测量方法是冷源法通过找到线上的单个点以及线的斜率 (kBG) 来确定噪声因子。
考虑到这一点,让我们来看看 Y 因子方法。
使用 Y 因子方法查找噪声因子
图 3 显示了 Y 因子方法的基本框图。

图 3.Y 因子方法的框图。
要找到噪声线的两个不同点,我们需要对输入应用两个不同的噪声电平。所需的输入

噪声功率是通过将两个温度分别为 Tc 和 Th 的匹配电阻器连接到DUT的输入端来产生的。对于 Y 因子方法,更容易通过 DUT 的等效噪声温度Te对 DUT 的噪声性能进行建模。如果 DUT 添加的输出噪声为 No(added),则其噪声温度由下式给出:
其中 k 是玻尔兹曼常数,B 和 G 是 DUT 的带宽和可用功率增益。通过组件的噪声温度对组件的噪声进行建模,我们可以轻松找到两个输入噪声水平的输出噪声。等式 1 给出了Th处热源的输出噪声功率。

等式 1。
同样,冷源的输出噪声 Tc可通过公式 2 求出。

等式 2。
在上面的方程组中:
Te和产品 BG 未知
众所周知,两个输入 Th 和 T c 的噪声温度具有高精度
Nh和 Nc是测量值
如果我们用方程式 1 除以方程式 2,BG 项就消失了,我们得到方程式 3。

等式 3。
这个比率被称为 Y 因子。使用一点代数,上面的等式在等式 4 中给出了 DUT 的噪声温度。

等式 4。
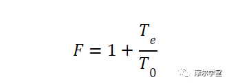
有了 Te,我们可以应用以下等式来找到噪声因子:

校准步骤——校准噪声和接收机噪声温度
Y 因子方法原则上很简单。然而,在实践中,有一些复杂的问题需要特别注意。这些错综复杂的问题之一是测量设备增加的噪音。这在下面的图 4 中进行了说明。

图 4.显示噪声放大器和噪声测量接收器的框图。
如上图所示,测得的输出噪声功率 Nh和 Nc受测量设备噪声的影响。换句话说,通过将 Nh和 Nc代入方程式 3 和 4,我们实际上是在计算由 DUT 和测量设备组成的两级级联系统的噪声温度。应用Friis 方程,两级级联系统的噪声温度给出方程 5。

等式 5。
在哪里:
TDUT和 TReceiver是 DUT 和测量设备的噪声温度
GDUT是 DUT 的可用功率增益
当 DUT 增益超过 30 dB 时,我们可以忽略来自第二级的噪声并假设 Tcas≃ TDUT。但是,当不满足此条件时,我们必须使用校准步骤来纠正第二阶段产生的错误。在校准步骤中,噪声源直接连接到“噪声测量接收机”,并应用 Y 因子法确定接收机的噪声温度(图 5)。

图 5.显示 Y 因子方法适用于查找接收器噪声温度的方框图。
将冷热噪声功率施加到测量设备上,我们从校准系统的噪声线上得到两个点,Nh, cal和 Nc, cal。现在我们可以找到校准设置的 Y 因子:

通过重新整理上式,我们得到接收器噪声温度:

总而言之,校准步骤(图 5)测量仪器本身并确定 TReceiver。接下来,在 DUT 就位的情况下(图 4),可以找到级联系统的噪声温度 Tcas 。最后,假设 DUT 的增益已知,我们将 TReceiver和 Tcas代入等式 5 以获得 TDUT。大多数情况下,DUT 的增益是未知的。然而,上述测量可用于轻松找到 GDUT。
计算被测设备增益
从测量设置中获得的噪声功率——图 4 中的 Nh和 Nc——经历了 DUT 的增益;但是,Nh, cal和 Nc, cal没有这种增益(图 5)。因此,可以通过公式 6 估算GDUT 。

等式 6。
在之前的文章中,我们讨论了噪声系数定义中使用的功率增益是可用功率增益 GA。应该注意的是,我们从等式 6 中获得的功率增益不等于 GA。为了区分这两个功率量,公式 6 给出的功率称为插入增益。这将在下一篇文章中更详细地讨论。
插入增益——使用二极管实现噪声源
为了产生所需的输入噪声水平,我们可以在精确控制的物理温度下使用两个匹配的电阻器。例如,冷噪声源可以通过将电阻器浸入液氮(Tc= 77 K)或液氦(Tc= 4 K)中获得。传统上,热电阻器被放置在沸水或冰水中。早期的噪声源依赖于调整源电阻器的物理温度,而今天的有源噪声源通常使用二极管或电子管来提供经过校准的噪声电平。图 6 显示了基于二极管的噪声源的简化框图。

图 6.基于二极管的噪声源的简化框图。
当连接 28 V 电源时,二极管反向偏置到雪崩区,产生大量噪声。另一方面,当电源断开时,输出端只会出现少量噪声。RF 扼流圈 (RFC) 只是一个足够大的电感器,可以在所有相关频率下被视为开路。衰减器帮助我们降低失配不确定性.它确保无论二极管是导通还是关断,噪声源在输出端都表现出相对恒定、定义明确的匹配。虽然噪声二极管的物理温度为室温,但它会产生异常“热”的噪声水平。例如,在 10,000 K 的范围内,高于任何已知金属的熔点。现代噪声源产生的噪声随时间稳定,频率范围宽,反射系数低。
过大的噪声比公式
过高的噪声比 (ENR) 是表征有源噪声源产生的噪声的常用方法。以分贝为单位的 ENR 定义为:

在哪里:
Th和 Tc是噪声源在其 ON 和 OFF 状态下的噪声温度
T0是 290 K 的参考温度
请注意,ENR 的早期定义是:

该定义基于 Tc等于 T0的假设。在我们的测量中通常不会出现这种情况。然而,噪声源制造商提供的校准 ENR 值通常以 T0= 290 K 为参考。例如,如果 ENR 指定为 15 dB,则我们有 T h= 9460.6 K。商业噪声最常见的 ENR 值源是 5、6 和 15 dB。也有 ENR 值较高的噪声源,例如 25 dB,但 ENR 值高于 15 dB 的噪声源的可用性是有限的。
审核编辑:刘清
上一篇:如何更好的理解PFC呢?
下一篇:选择合适的CMOS模拟开关
龙腾半导体SGT MOSFET LSGT085R018在智慧农业无