时间:2023-03-16 17:01
人气:
作者:admin
在我们常规的认识里面,射频无源器件都是线性器件,耦合器的耦合度,滤波器的损耗和衰减,天线的增益等等,我们仅需在功率的dBm格式中加或者减去这些器件的相应dB 值就可以。
在时分双工TDD系统中,收发靠时间来分开,发射链路的互调也没有以往在频分双工FDD中那么受人关注。
安逸久了,以至于慢慢淡忘了曾经受到的痛苦。尤其是在FDD滤波器生产中无源互调的那些磨难,痛苦到只能用玄学来解释这些PIM的来源,以至于有一些无神论不是那么坚定的人有了烧香拜佛求助的念头。
现在的射频工程师确实比以往幸福了很多。
在《无源互调干扰导论》这本书中,介绍了在卫星通信中因PIM产物影响而发生故障的例子:
美国舰队通信卫星FLTSTCOM的3阶,美国海事卫星MARISAR的13阶,欧洲国际通信卫星V号IS-V的27阶,甚至欧洲海事卫星MARECS的43阶PIM 产物落在了接收通带引起干扰,一度影响了一些国外卫星系统的研发进展和使用。
3阶,5阶,7阶的影响比较大,我们比较容易理解,27阶和43阶都要考虑到是不是有点过头了?
所以,在射频设计中,任何时候的掉以轻心都有可能带来意想不到的损失。
那么无源互调的来源是什么?又该如何解决呢?我们今天一起来探讨一下。
互调产物的数学解释
在我们学习《信号与系统》这本书的时候,有一个比较重要的概念——线性时不变系统 LTI。
线性时不变系统要求一个信号通过这个系统时,可以放大,缩小,延时,但是信号的基本特征不变,从数学上要满足齐次性,叠加性和时不变性,下图给了比较生动的解释。
这个构成了我们通信的数学基础,也是所有通信人梦寐以求能达到的效果——所有信息能够无失真的传输。
说的再简单一点就是这个系统的输出y是输入x的一次函数,用高等数学来解释就是函数的一阶导数为常数。
在线性时不变这个假设的舞台上,我们肆意狂舞,忘却了这一切都想贾宝玉的太虚幻境一般虚无缥缈,非线性才是这个世界的常态。
任何的变化都具有不确定性,量与量之间的关系都不是简单的线性关系。
来,补交数学作业了!

一个非线性系统的传输函数都可以用一个n阶的泰勒级数多项式表示:

当然线性系统的传输函数可以表示成泰勒级数的一阶:

所以从传输函数上来说,线性只是非线性的一种特殊形式,虽然我们都喜欢这种简单的方程,但是现实却是残酷的,上面那个展开无穷多项的泰勒级数才是现实。
来吧,灌信号吧,看看出来个什么东西?
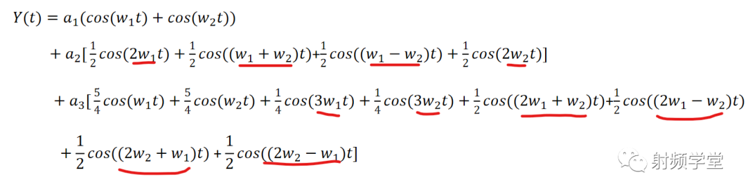
偷个懒,把这个非线性系统后面的都去掉,只保留前三项:

同时呢,假设输入信号为最简单的两个不同频率的余弦信号的线性组合

那么输出是个什么呢?

继续三角函数展开,有没有突然发现,三角函数就是为了解决通信问题而生的?我们利用三角函数的和差化积公式将其展开可得

简直惨不忍睹啊,进去两个频率的信号,出来了一堆,而且还是简略版的非线性。那要是标准非线性不是出来的更多。
心情稍微平复一下,我们捋一下这个产物都有什么?
1,靠近直流的频率: w1-w2, DC
2,靠近输入信号的频率:w1,w2,2w1-w2,2w2-w1,
3,二阶谐波的频率:2w1,2w2
4,三阶谐波附近的频率:3w1,3w2,2w1+w2,2w2+w1
放到频域里面如下图所示:

通常情况下,2w1-w2和2w2-w1这两个互调信号距离主信号交近,会造成带内临近信道干扰,是射频设计中常常会注意到的项,其他项距离主信号比较远,对于有源部分产生的互调产物,可在后端加滤波器进行滤除,但是如果是无源滤波器和天线产生的互调产物,就无能为力了。
互调产物的物理机理
对于有源电路部分,非线性的解释比较充分,研究的也比较透彻。比如混合器,本身就是利用了电路的非线性完成调制信号和载波信号混频的功能;而对于功率放大器,为了追求更高的效率,常常工作在晶体管的饱和区,非线性带来的增益的一点点压缩,也就导致了输出信号和输入信号的非线性关系。

而无源器件的非线性就更加奇妙了,以至于有些时候,人们只能求助于玄学了。但是随着人们研究的深入,无源非线性的物理机理也慢慢呈现在我们的眼前。无源器件的非线性主要可分为材料非线性和接触非线性。
材料的非线性现象包括以下几个方面:
1,电介质薄层的电子隧道效应:比如在铝材料表面的氧化铝薄层就有这种电子隧道效应。
2,铁磁效应:铁磁材料有很高的磁导率,并且随着磁场做非线性变化,具有磁滞效应;常见的铁磁材料包括铁,有磁钢,钴,镍等,都是在射频无源器件设计中应该避免用到的;
3,电致伸缩,即电场的非线性变化,比如产生于聚四氟乙烯PTFE电介质中的电致伸缩会对同轴电缆中的PIM有所贡献;
4,磁阻,磁场引起金属导体电阻的变化;
5,微放电效应,由于强电场产生的离子气体而引起二次电子倍增,如在微狭缝之间和跨越金属中砂眼的微放电;
6,电介质击穿等。
当然还有空间电荷效应,离子导电,热离子发射效应,内部肖特基效应等,都会引起无源器件的非线性,进而产生互调信号。
接触非线性
接触非线性主要包括材料结构和老化引起的非线性
1,材料结构引起的非线性主要包括:不同零部件的安装,比如,谐振器,连接器,调谐螺钉等,还有材料结构折弯产生的微裂缝等。其产生机理主要包括接触面不良接触引起的机械效应和电子效应。
2,老化引起的非线性,主要是指随着时间的增加,接触面的松动或者滑动都会引起接触的不良,另外金属氧化物的产生,会导致更多的非线性产生。
总结
在射频设计中,非线性才是常态,如何处理非线性导致的问题,是考究射频工程师设计功底的一道压轴题。但是常态并不意味着一定会有影响,尽可能的去减小它的影响才是我们应该做的。
有果必有因,遇到问题,先尝试着找到问题的根,然后解决方法就应运而生了。
审核编辑:汤梓红
上一篇:逻辑电平转换电路原理讲解
下一篇:对输出端的噪声进行建模
龙腾半导体SGT MOSFET LSGT085R018在智慧农业无