时间:2023-03-17 16:00
人气:
作者:admin
信号的基本概念和分类
信号的分类:确定与随机,连续与离散
确定信号和随机信号
确定信号:可用确定时间函数表示的信号。
随机信号:信号不能用确切的函数描述,只可能知道它的统计特性比如概率,例如:电子系统中的起伏热噪声、雷电干扰信号。

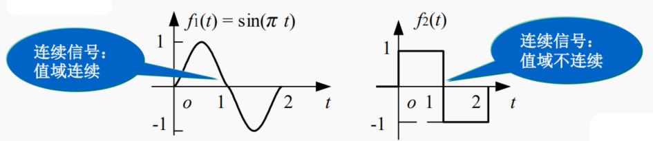
连续信号和离散信号
连续时间信号:连续时间范围内(-∞
离散时间信号:仅在一些离散的瞬间才有定义的信号,简称离散信号; 当取值为规定数值时,常称为数字信号。



通常将对应某序号m的序列值称为第m个样点的样值。
连续信号采样变离散信号:

离散信号变连续信号1:
零阶保持(T 为取样间隔)

离散信号变连续信号2:
分段线性(T 为采样周期)

信号的分类:周期与非周期
周期信号(period signal)是定义在(-∞,∞)区间,每隔一定时间T (或整数N ),按相同规律重复变化的信号; 不具有周期性的信号称为非周期信号。
连续信号的周期


解:两个周期信号的周期分别为T1和T2,若T1/T2为有理数,则周期信号之和仍然是周期信号,其周期为T1和T2的最小公倍数。

离散信号的周期
定义:离散周期信号f(k),周期为N,满足下式:




结论:①连续正弦信号一定是周期信号,而正弦序列不一定是周期序列。 ②两连续周期信号之和不一定是周期信号,而两周期序列之和一定是周期序列。
信号的分类:能量与功率信号,因果与反因果
1.能量信号和功率信号

能量有限信号: 信号的能量E<∞,简称能量信号,此时 P = 0。
功率有限信号: 信号的功率P<∞,简称功率信号,此时 E = ∞。
对于离散信号,也有能量信号、功率信号之分。

结论:
(1) 时限信号(仅在有限时间区间不为零)为能量信号;
(2) 周期信号属于功率信号;
(3) 非周期信号可能是能量信号,也可能是功率信号;
(4) 有些信号既不是能量信号也不是功率信号,如

2.因果信号和反因果信号
因果信号:t < 0,f(t)=0 的信号f(t) [即 t=0 时接入系统的信号],比如阶跃信号
反因果信号:t ≥ 0,f(t)=0 信号(豁免 0 信号之外)。
还有其他分类,如一维信号与多维信号; 实信号与复信号; 左边信号与右边信号等等。
信号的Matlab表示与绘图
连续信号的绘制

0.001为取样点的间隔,即点取得特别密,近似表示连续信号
2.离散信号的绘制

上一篇:晶体三极管的基础知识
龙腾半导体SGT MOSFET LSGT085R018在智慧农业无