时间:2023-03-03 15:50
人气:
作者:admin
RF放大器是一种有源网络,可增加微弱信号的幅度,从而允许接收器进一步处理。接收器放大分布在整个系统的RF和IF级之间,理想的放大器可以在不增加失真或噪声的情况下增加所需的信号幅度。不幸的是,众所周知,放大器会增加所需信号的噪声和失真。在接收器链中,天线之后的第一个放大器对系统噪声系数的贡献最大。在嘈杂网络前面增加增益可减少该网络的噪声贡献。
放大器噪声系数
为了分析电路噪声的影响,可以将噪声电路建模为无噪声电路加上外部噪声 来源。对于具有内部噪声源的嘈杂双端口网络(图 1a),这些源的影响由外部噪声-电压源 V 表示N1和 VN2,分别与输入和输出端子串联放置(图1b)。这些噪声源必须在电路端子上产生与内部噪声源相同的噪声电压。V 的值N1和 VN2在公式 1 和 2 中计算。图1b中的无噪声双端口网络由Z参数表示:

和:

等式1和2表明V.N1和 VN2值可以通过噪声双端口网络中的开路测量来确定。从这些方程可以得出,当输入和输出端子打开时(I1= I2= 0)(等式 3 和 4):

和:

换句话说,VN1和 VN2等于相应的 开路电压。

图1.噪声双端口网络 (a) 可通过具有外部噪声电压源 V 的无噪声双端口网络 (b) 进行建模N1和 VN2.
在嘈杂的双端口网络的另一种表示形式中(图2),外部源是电流噪声源IN1和我N2.等式5和6表示无噪声双端口网络:

和:

I 的值N1和我N2图2所示为在噪声双端口网络中进行的短路测量,如公式7和8所示:

图2.嘈杂的双端口网络也可以用带有外部噪声电流源I的无噪声双端口网络表示N1和我N2.

和:

除了图 1b 和图 2 所示的表示形式外,还可以导出噪声双端口网络的其他表示形式。一个 噪声分析的方便表示将噪声源置于网络的输入端(图 3)。

图3.同样,嘈杂的双端口网络可以表示为具有外部噪声源 V 的无噪声双端口网络n和我n在输入处。
图3中的无噪声双端口网络由公式9和10中的ABCD参数表示:

和:

等式 9 和 10 表明没有简单的方法来计算 Vn和我n在图3中,使用开路和短路测量。从实际的角度来看,这些值(Vn和我n) 可以用噪声电压 V 表示N1和 VN2在图 1b 中(需要 仅开路测量)。
噪声源之间的关系 Vn和我n图3和噪声源VN1和 VN2图1b中的推导如下。使用 Z 参数表示图 3 中的无噪声双端口网络:

和:

将等式1和2与等式11和12进行比较,可以得出:

和:

因此,求解 Vn 和 In 的方程 13 和 14 得到:

和:

确定Vn和In的另一种方法将它们与图2中的噪声源In1和In2相关联。很容易证明,在这种情况下的关系是:

和:

连接到嘈杂双端口网络的源(图 4)由导纳为 Ys 的电流源表示。假设来自源的噪声与来自双端口网络的噪声无关。因此,噪声功率与无噪声放大器输入端口短路电流(用/Isc²表示)的均方成正比;仅由源引起的噪声功率与源电流的均方成正比(/Is²)。因此,噪声系数F由下式给出:


图4.此噪声模型可用于计算放大器噪声系数。
因为 Isc = -is + In +VnYs,所以 Isc 的均方由等式 20 给出:

因为来自源的噪声和来自双端口的噪声 网络不相关:

等式20可简化为:

将等式 20 代入等式 19 得到:

外部源 Vn 和 In 之间存在一定的相关性。因此,In可以写成两个项的总和 - 一个与Vn(Inu)无关,另一个与Vn(Inc)相关。因此:

此外,Inc 和 Vn 在相关导纳 Yc 方面的关系定义为:

Yc不是电路中的实际导纳;它的定义如下: 公式25并计算如下。从公式 24:

将等式 26 乘以 Vn*,取平均值,以及 观察到

:

将等式 26 代入等式 23 得到 F 的以下表达式:

声源产生的噪声与声源有关 电导率:

其中 Gs= Re[Ys].噪声电压可以用等效噪声电阻R表示n如:

不相关的噪声电流可以用等效噪声导度G表示u:

将等式 29、30 和 31 代入等式 28,并得到:

和:

给:

通过正确选择Y,可以将噪声因数降至最低s.根据公式 34,F 通过选择:

因此,从公式 34:

等式 34 中的表达式对 G 的依赖性s可以通过设置来最小化:

这给出了:

求解 Gs:

等式39和35中的Gs和B值给出了源导纳,从而得到最小(最佳)噪声系数。源导纳的这个最佳值通常用 Yopt = Gopt + jBopt 表示;那是:

根据公式36,最小噪声系数F。最小是:

求解 G 的方程 39u/G选择代入等式 41 得到:

使用等式42,等式34可以表示为:

求解 G 的方程 39u代入等式 43,F 的表达式可以简化:

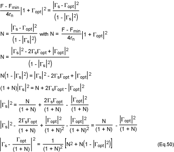
等式 44 显示 F 取决于 Yopt = Gopt + jBopt,以及 Fmin。当指定这些量时,可以确定任何源导纳Ys的噪声系数F值。这个等式也可以表示为:

其中 m = Rn/Z0是归一化噪声电阻和ys= YsZ0是规范化的源准入:

y选择是最佳源导纳的归一化值:

准入 ys和 y选择可以用反射系数来表示:

表示 ys和 y选择在反射系数方面有助于将噪声系数(公式45)表述为这些系数的函数。该公式对于工业LNA应用更方便,因为在大多数数据手册中,LNA特性表示为S参数表和最佳反射系数G选择与频率:

当噪声系数表示为圆的函数时,它可以与史密斯图一起使用,以便在特定应用中实现最佳噪声系数匹配:

对于LNA输入匹配,噪声圈在史密斯控制图上的位置如下:


从等式51和52中,可以可视化噪声 通过绘制噪声圈来执行LNA的性能 史密斯图。这种技术可以让设计师看到 调谐的效果,以估计实际噪声 性能。
设计最佳噪声系数
对于任何双端口网络,噪声系数测量 添加到通过 网络。对于任何实际电路,信噪比 (SNR)在其输出端比在其输入端更差(更小)。在 然而,大多数电路设计的噪声贡献 每个双端口网络都可以通过 明智地选择工作点和源电阻。
上一节演示了对于每个 LNA (实际上,对于任何双端口网络),存在一个 最佳噪音系数。LNA制造商通常指定 数据手册中的最佳源电阻。作为一个 MAX2656和其他LNA的替代数据资料 指定最佳光源反射系数。
为了设计一个噪声系数最小的放大器, 确定(通过实验或从数据手册中)确定 产生 该设备的最小噪声系数。然后强制 实际源阻抗“看起来像”最佳 值,所有稳定性注意事项仍然适用。如果 计算出的滚筒稳定系数 (K) 小于 1 (K 被定义为LNA稳定性的品质因数),那么你 在选择源和负载反射时必须小心 系数。为了准确描述不稳定 区域,最好画稳定圈。
在为LNA提供最佳电源后 阻抗,下一步是确定最佳阻抗 负载反射系数 (ΓL) 需要正确 终止 LNA 的输出:

其中ΓS是必需的源反射系数 最小噪音系数。(上式中的星号表示复数的共轭ΓL.)
应用
MAX2656是说明LNA最佳噪声匹配理论的一个实际例子,它是一款具有高三阶可调交调交调截点(IP5)的LNA(图3)。专为具有增益的 PCS 手机应用而设计 通过逻辑控制选择(高增益模式下为14.5dB,低增益模式下为0.8dB),放大器的最佳噪声系数为1.9dB(取决于偏置电阻R的值)偏见).MAX2655/MAX2656 IP3 使用单个外部偏置电阻器(R偏见),这使您可以针对特定应用优化电源电流。

图5.MAX2656 LNA的典型工作电路显示了输入匹配网络的设计值。
图5的应用采用MAX2656 LNA 工作在 1960MHz 的 PCS 接收器频率和 2dB 的噪声系数(根据设计要求)。它必须在50Ω端接之间工作。如MAX2656数据资料所述,最佳偏置电阻(R偏见)的最小噪声系数为715Ω。最佳源反射系数Γ选择1960MHz应用中的最小噪声系数(F最低= 1.79dB) 为:

具有噪声等效电阻R的源阻抗N= 43.2336Ω 得到最小噪声系数。
工作在2656MHz的MAX1960 LNA具有以下S参数(以幅度/角度表示):
, r11= 0.588/-118.67°
- S21= 4.12/149.05°
- S12= 0.03/167.86°
- S22= 0.275/-66.353°
计算出的稳定因子 (K = 2.684) 表明 无条件的稳定,因此我们可以继续进行 设计。图 5 显示了输入匹配的设计值 网络。首先,用于输入匹配的史密斯图 显示(蓝色)请求的 2dB 恒定噪声圈 设计(图6)。为了进行比较,请注意虚线 对应于 噪声系数分别为 2.5dB、3dB 和 3.5dB。

图6.史密斯图中的实心圆圈表示具有输入匹配的MAX2 PCS LNA所需的(最佳)2656dB噪声系数。
为方便起见,我们选择了源反射系数 ΓS= 0dB恒定噪声圈上的3.150/2°。这 归一化50Ω源电阻转换为ΓS使用两个组件:弧形ΓSA(顺时针方向在 阻抗图)给出串联电感L的值1. 弧形BO(导纳图中顺时针)给出 并联电容器C的值1.
电弧Γ的价值S在地块上测量的单位是0.3个单位, 所以 Z = 50 x 0.3 = 15Ω。因此,L1 = 15/ω = 15/(2πf) = 15/[2π x (1.96 x109)] = 1.218nH,四舍五入为 1.2nH。这 在图上测量的弧度BO值为0.9个单位,因此 1/y = z = 50/0.9 = 55.55Ω。因此,C2= 1/(55.55 x ω) = 1/(55.55 x 2πf) = 1/[55.55 x 2π x (1.96 x 109)] = 1.46pF, 四舍五入为 1.5pF。
C1只是一个高值直流隔离电容,不会干扰输入匹配。所选ΓS提供正确端接LNA所需的负载反射系数:

该值和归一化负载电阻值如图7所示,图50还显示了将<>Ω负载转换为Γ的可能方法L.在本例中,请注意,单个串联电容器提供必要的阻抗变换。

图7.MAX2656 PCS LNA具有输出匹配功能,可实现所需的(最佳)2dB噪声系数。
弧线 OΓL(阻抗图中逆时针方向) 给出串联电容器 C 的值3.弧的价值 奥γL在图上测量的是 0.45 个单位,因此 Z = 50 x 0.45 = 22.5Ω. 因此,C3= 1/(22.5 x ω) = 1/(22.5 x 2πf) = 1/[22.5 x 2π x (1.96 x 109)] = 3.608pF,四舍五入为 3.6pF。
结论
这些计算确定了图5中LNA中最佳噪声性能所需的匹配组件。当然,在非强制性要求最佳噪声性能的低成本应用中,C3可以省略,MAX2656可以直接连接到50Ω系统。
审核编辑:郭婷
龙腾半导体SGT MOSFET LSGT085R018在智慧农业无