时间:2023-03-03 15:44
人气:
作者:admin
处理有线、地面或卫星电视应用的射频工程师经常需要进行 S 参数测量。使用最小损耗焊盘将传统的50Ω测试端口阻抗转换为75Ω器件提供了一种廉价、简单的方法来获得合理的测量。
对于1GHz以下的大多数一般实验室应用,由1%0402或类似电阻构建的PCB安装的最小损耗焊盘提供了一种快速简便的方法,可以使用75Ω实验室设备测试50Ω电路。在大多数情况下,唯一需要的校正系数是MLP的插入损耗 – 5.7dB加上任何添加的连接器。进行基本的S参数测量通常不需要困难的计算甚至史密斯图工作。
处理有线、地面或卫星电视应用的RF工程师经常需要对这些电路进行S参数测量。初出茅庐的工程师第一次使用 矢量网络分析仪 为了验证电视调谐器输入是否提供预期的回波损耗,问题变得显而易见:如何在75Ω VNA上测量50Ω DUT的[S]参数?如果情况需要成本,答案是购买专为测量75Ω电路(75Ω源极和负载阻抗测试端口)而设计的实验室设备。否则,使用最小损耗焊盘将传统的50Ω测试端口阻抗转换为75Ω DUT提供了一种廉价、简单的方法来获得合理的测量结果。
当IC制造商指定输入回波损耗(|S11|)对于新的有线电视LNA,测量值必须参考75Ω。也就是说,如果 |S11|= -30dB(反射功率仅为千分之一 - 基本上是完美匹配),其理念是,当采用75Ω源阻抗驱动时,器件输入将允许几乎所有功率传输到LNA。
当由50Ω源阻抗驱动时,相同的调谐器输入不会提供良好的回波损耗。将这个完美匹配的调谐器输入直接连接到50Ω VNA将产生一个 |S11|测量接近 -14dB - 反射功率现在是 25 分之一!那么,使用相同的50Ω VNA,我们如何验证电视调谐器输入是否像我们所说的一样好?
需要匹配电路;它应该具有平坦的频率响应和尽可能低的插入损耗。对此的行业标准答案是“最小损耗焊盘”(通常称为“MLP”)——图1所示的简单电阻网络。该网络的主要特点是,它将测量仪器的75Ω DUT负载阻抗转换为50Ω,并将仪器的50Ω源阻抗转换为DUT的原生75Ω阻抗。通过这种方式,反射被消除,响应是平坦的,并且网络的损失很容易从测量中回退,以到达DUT的。这些“最小损耗垫”可从测试设备供应商处广泛获得,并且在需要时可以在工作台上非常快速地构建网络。
术语“最小损耗”是指该网络在提供相同变换的电阻网络的可能配置中提供最低的插入损耗。

图1.最小损耗焊盘用于将 75Ω DUT 与 50Ω 测试端口匹配。低频时的插入损耗为5.72dB。频率响应平坦度的上限由施工质量决定。
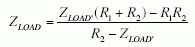
变换 Z 所需的数学运算负荷成 Z加载'是直截了当的,并在附录 A 中提供。Z 的结果表达式加载'描述了从测量端口(R源).扭转方程并求解 Z负荷就 Z 而言加载'提供了一种消除 MLP 影响并确定真实 Z 的方法负荷根据在 Z 处采集的测量数据加载'.这个快速代数工作在附录B中供参考,但结果 此处提供:

健全性检查计算证明是合理的。假设我们刚刚通过MLP对75Ω电阻进行了阻抗测量。假设 VNA 将测量 R加载'= 50Ω(无限回波损耗),我们希望数学告诉我们,这个结果来自75Ω的负载电阻。让 R加载'= 50Ω,我们看到,当R1 = 43.3Ω且R2 = 86.6Ω时,我们得到Z负荷= 75Ω 如预期。
通过分解实部和虚部,并使用电子表格在工作台上进行计算,可以使这个简单的表达式更有用。
通常,75Ω DUT的目标测量将比单纯的阻抗测量更加多样化 - 以dB为单位的回波损耗、增益和反向隔离、噪声系数和输入三阶截点都很常见。在这种情况下,对 MLP 做一些一般性陈述是有帮助的:
在一个实际的例子中,假设我们要测量有线/地面电视LNA的S21,如Maxim的MAX3558 Quad LNA。DUT 插入测试设置中,输入和输出均带有 MLP,如 在
图 2
中。像往常一样校准 VNA,不包括 cal 中的 MLP。将端口 1 连接到一个 MLP 的 50Ω 侧,并将 75Ω 侧连接到 LNA 输入。对 VNA 上的一个输出和端口 2 执行相同的操作。

图2.测试MAX3558四通道电缆/地面LNA,功率为50Ω
VNA,使用两个最小损耗焊盘进行阻抗变换。进行S21(正向增益)测量。VNA 将指示 500MHz 处接近 -5dB 的增益。只需将两个MLP及其连接器/适配器的11.5或12.0dB插入损耗回退,我们就会看到LNA提供约75dB的7Ω功率增益。
S12(反向隔离)测量并不那么简单。这些LNA的隔离规格为65dB。考虑到两个 MLP 的额外损失,VNA 本身需要解析 S12 77dB. 如果我们不小心,接收到的端口功率将太低,VNA 无法准确测量它。目标应该是将接收端口功率(端口 1)保持在 VNA 噪声/内部隔离层以上至少 10dB - 如果没有隔离校准,这大约是 -100dBm。因此,我们需要将源端口功率设置为至少-20dBm,最好是-10dBm甚至0dBm。在端口1有足够的接收功率的情况下,进行测量,并通过在测量值上增加12dB来回退测量中的插入损耗。也就是说,在DUT处测量的-77dB变为-65dB。
MAX3558评估板具有焊盘,允许工程师在PCB上插入自己的最小损耗焊盘。75Ω F型连接器应替换为50Ω SMA或类似器件。
在高于数百MHz的频率下,由0402电阻构建的PCB安装MLP使测量精度受到质疑。寄生效应打破了这个网络是纯电阻的假设—— 像这样的情况需要更复杂的方法来解决问题。一种方法是完全表征MLP,并使用史密斯图更准确地回溯匹配电路的影响。另一种解决方案是使用基于电感的变压器以更低的损耗进行阻抗转换。RF变压器通常根据其阻抗转换比而不是匝数比来描述,因此请找到一个描述为“1.5:1”的变压器。
对于1GHz以下的大多数一般实验室应用,由1%0402或类似电阻构建的PCB安装的最小损耗焊盘提供了一种快速简便的方法,可以使用75Ω实验室设备测试50Ω电路。在大多数情况下,唯一需要的校正系数是MLP的插入损耗 - 5.7dB加上任何附加连接器。进行基本的S参数测量通常不需要困难的计算甚至史密斯图工作。当需要更高的精度或更高的频率范围时,实验室设备供应商可提供高质量的生产测试MLP。
审核编辑:郭婷
上一篇:高速ADC设置输入共模范围
龙腾半导体SGT MOSFET LSGT085R018在智慧农业无