时间:2023-02-09 13:49
人气:
作者:admin
了解电压驻波比 (VSWR)、回波损耗和失配损耗,这有助于表征射频 (RF) 设计中的波反射。 当电波在其中传播过程中,遇到的介质的阻抗发生变化时会产生反射。当我们打算将功率从信号链中的一个模块传输到下一个模块时,这些反射是非常不希望的。 在本文中,我们将了解两个参数,即驻波比和回波损耗,它们使我们能够表征RF设计中的波反射。我们还将讨论参数化波反射对功率传输的影响的“失配损耗”规范。
计算 VSWR 公式
对于短路或开路的传输线,会发生全反射,入射波和反射波的干扰会在传输线上产生驻波。例如图 1 所示。

图 1. 示例图。 对于正弦输入,稳态响应也是正弦的。长度为 d = 0.2 米且负载短路 (ZL= 0),36个不同时刻沿线路的电压波如图2所示。

图 2. 36个不同实例的电压波形。 上面的曲线可以让您了解电压波的幅度如何沿线路变化。这种幅度变化最好通过上述图的包络线来显示,如下图3所示。

图 3. 振幅变化图。
请注意,包络线的最小值为零伏。我们可以对任意负载重复相同的过程,比如 Γ = 0.5 的负载。这种情况下 36 个不同时刻的电压波形图如图 4 所示。

图 4.另一个示例图显示了 36 个实例的电压波形。
这些曲线的包络如图 5 所示。

图 5. 示例电压波包络与位置图。
上面的讨论表明,当发生全反射时,包络的最小值为零伏Vmin= 0(图 3)。然而,对于部分反射,Vmin更接近峰值Vmax。在没有反射的理想情况下,Vmax 实际上等于 Vmax。因此,Vmax与 Vmin之比(称为VSWR)与阻抗不连续处发生的反射量有关。在数学语言中,VSWR 定义为:

全反射时,驻波比为无穷大;对于匹配负载,VSWR 为 1;对于其他情况,VSWR 介于这两个极值之间。例如,对于图 5 中的包络波形,VSWR为:

可以很容易地看出,VSWR 与负载反射系数Γ 的关系由下式表示:

这个等式允许我们测量 VSWR 并使用该信息来确定反射系数的大小。 附带说明一下,VSWR 参数可能在某种程度上失去了它曾经具有的意义。当今的高性能定向耦合器可以物理分离入射波和反射波,使我们能够精确测量反射系数。 在传输线测量的早期,这些高性能定向耦合器是不可用的,公式2是测量Γ幅度的简单解决方案。为此,工程师只需要通过称为开槽线路的设备测量沿线路的最小和最大电压。考虑到当今高性能测量设备的可用性,VSWR有时被认为是几十年前遗留的参数。但是,RF工程师需要完全理解VSWR概念,因为它仍然通常在数据表中指定。
射频回波损耗
考虑图 6,其中传输线连接到 RF 组件的输入。入射功率为 Pi,并且“观察”RF组件输入的反射系数Γ。

图 6. RF 组件和传输线 在这里,我们感兴趣的是表征有多少入射功率从 RF 组件 (Pr)反射。而反射系数Γ是反射电压与入射电压之比,|Γ|2表示反射功率与入射功率之比:
用分贝表示上述等式会产生:

例如,如果|Γ|2=0.1,我们得到:

这意味着反射功率比入射功率低10 dB。在这种情况下,我们可以说返回的入射信号部分经历了-10 dB的增益,或者等效地损失了+10 dB。换句话说,本例中的“回波损耗”为10 dB。 或者,回波损耗参数通常用于表示公式3和4。但是,此参数的名称起初可能有点令人困惑。回波损耗是指入射信号在从阻抗不连续性返回或反射时所经历的损耗。 请注意,对于无源电路,Γ的边界介于 0 和 1 之间,因此,返回的信号会经历衰减或损耗而不是增益。回波损耗通常用RL表示,由下式给出:

例如,如果系统中的回波损耗指定为40 dB,您会立即知道反射功率比入射功率低40 dB。因此,回波损耗越大,负载与线路特性阻抗之间的匹配越好。 Γ、VSWR和回波损耗这三个参数都是指定负载与传输线匹配程度的不同方法。但是,与同时具有幅度和相位信息的Γ不同,VSWR和回波损耗仅提供幅度,没有相位信息。
失配损耗
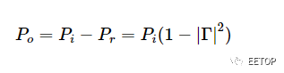
让我们再检查一次图 6 中的配置。除了反射功率之外,我们还对表征阻抗失配对传输到输出P的功率量的影响感兴趣。首先,假设RF分量的功率增益是单位(G = 1)。换句话说,传递到RF组件输入端的相同功率出现在其输出端。由于阻抗失配会导致一些反射功率,因此会降低传递到RF组件的功率。G = 1时,输出功率Po等于入射功率和反射功率之差:

以分贝表示上述等式可得出:

继续使用示例值0.1

这意味着输出功率比入射功率低0.46 dB。换句话说,信号的增益为-0.46 dB,或者等效地损失为+0.46 dB。这种功率损耗被称为“失配损耗”,因为它仅源于阻抗失配。失配损耗参数告诉我们通过提供完美的阻抗匹配可以获得多少增益改进。在上述示例中,可获得的增益改进为0.46 dB。基于上述讨论,用ML表示的失配损耗由以下等式给出:

从上面的解释中可以清楚地看出,小的失配损耗是需要的,并且对应于负载和线路之间更好的匹配。
两个端口不匹配时的失配损耗
在图 6 中,我们隐含地假设信号源(未显示)的阻抗与线路特性阻抗匹配。如果不是这种情况,Pr 将重新反射源端的不连续性并影响入射波Pi。例如,当我们通过传输线将源连接到负载时(图 7(a))以及两个级联设备之间的接口(图 7(b)),就会遇到这种情况。

图 7. 源通过传输线 (a) 和两个级联设备之间的接口 (b) 连接到负载的示例图。
在这种情况下,失配损耗(以线性项而不是分贝表示)由等式 8 给出。

。
上式指定了由于波反射而在输入和输出端口之间来回反弹的输入功率部分。您可以在G. Gonzalez的“微波晶体管放大器”第 2 章中找到该方程式的推导。例如,假设图7(a)中的Γ1 和Γ2分别为0.1和0.2。在这种情况下,我们有 ML = 1.011 的不匹配损失。以 dB 表示,由于两个阻抗不连续,我们有 0.05 dB 的损耗。 请注意,Γ 具有幅度和相位信息,并且相位角会影响等式 8 生成的 ML 值。让我们重复上面的示例,其中 Γ1 = 0.1 和 Γ 2 = -0.2。在这种情况下,ML 计算为1.095 或 0.39 dB。
失配不确定度
上述示例突出了 RF 应用中的严峻挑战。由于等式 8 中的失配损耗取决于反射系数的相位角,并且注意到在许多实际情况下,只有反射系数的大小是已知的,因此对于实际从输入传输到输出的功率有多少存在一些不确定性. 例如,知道 |Γ1|= 0.1 和 |Γ2|=0.2,失配损耗介于 0.05 dB 和 0.39 dB 之间。由这些上限和下限指定的范围称为失配不确定性。
审核编辑 :李倩
下一篇:控制阈值电压
龙腾半导体SGT MOSFET LSGT085R018在智慧农业无