时间:2023-01-16 09:13
人气:
作者:admin
要测试精密仪器仪表,需要使用超低失真、低噪声、高性能的信号发生器。新的产品通常需要保证性能指标在较高的水平。有些参考设计(例如ADMX1002)利用高性能精密数模转换器(DAC)简化了这一任务,这些转换器具有出色的精度和分辨率水平。1此外,加入一种创新数字预失真算法可以进一步增强测试信号的保真度,从而以低成本的小尺寸实现出色的低失真信号。
简介
随着精密模数转换器(ADC)和高保真音频设备(CODEC、MEMS麦克风等)不断发展,越来越需要在自动化测试设备(ATE)中生成高性能的音频和任意信号。要描述、验证和测试这些设备的直流和交流特性,需要使用多种高性能仪器仪表,这导致开发和生产测试成本增加,有时候会令人望而却步或限制测试覆盖范围。
在可能的情况下,测试工程师会开发内部解决方案作为替代方案,但这种做法非常耗费时间和资源。有些参考设计,例如ADMX1002超低失真信号发生器模块,旨在提供一种替代方案,以加快这一开发过程。

图1.ADMX1002超低失真和低噪声信号发生器。
ADMX1002解决了硬件和嵌入式软件开发挑战。除了通过简单的串行接口简化设计复杂性以外,它还可以自动生成多个正弦波和任意波形。此外,通过采用创新的数字预失真算法,ADMX1002进一步提高了信号链中的DAC和放大器性能。
高性能混合信号测试需求
现代ADC和其他混合信号器件经常需要使用一个源来测试高性能直流和交流特性。在所有情况下,源的性能都必须优于被测设备(DUT)的性能。
执行直流测试是为了确保无失码,并且验证差分非线性(DNL)、积分非线性(INL)、偏置和增益误差。这些测试需要利用低噪声和高分辨率的直流耦合单发线性信号(例如斜坡信号)来表征INL和DNL性能。在这种类型的测试中,需要达到高分辨率,以便执行ADC中的所有可用代码。
交流测试验证总谐波失真(THD)、信纳比(SINAD)和无杂散动态范围(SFDR)等参数。这些测试通常使用超高质量的信号音(正弦波)进行,这意味着,其中不能包含高于目标规格的任何谐波成分。为了完成这项任务,测试工程师可以采用定制的滤波器来消除测试信号中不需要的失真产物,但这会增加系统的复杂性和成本。但是,来自源的宽带噪声很难在相关信号周围进行滤波。来自源的噪声需要低于被测ADC的本底噪声,确保不会降低预期的测量目标。
下方的数据手册汇总列出了高性能ADC的发布规格:AD4020/AD4021/AD4022、ADAQ23878和AD7134,如表1所示。根据此表,可以看出,我们的目标是得出优于–123 dBc的THD。
表1.高性能精密ADC规格示例


Key Design Considerations for Low Distortion: Resolution and Linearity
低失真设计的关键考虑因素:分辨率和线性度
失真可以表示为在任何给定点上信号幅度的误差。这些误差导致信号偏离其理想的信号形状。对于数字合成信号,想要准确表示相关信号的每个样本,关键在于采用真正的高分辨率DAC,保证线性度达到最低有效位(LSB)。由于INL和DNL是量化转换器与其理想转换函数之间的偏差的指标,这些线性度误差会直接影响到高保真信号的再现。
由于周期信号的失真通常用THD表示,我们需要量化分辨率和INL对THD的影响,以选择合适的精密DAC。为了观察低THD,需要采用低本底噪声,这意味着需要高信噪比(SNR)。从根本上说,转换器的信噪比受到量化噪声的限制。一般认为,信噪比和分辨率的关系表达式如下所示

其中N为转换器中可用的位数,fs为采样率,BW为测量带宽。2从表1可以看出,我们所需的信噪比至少要优于100.5 dB,最好是其3倍,约为110 dB。假设带宽达到第一个奈奎斯特区域,那么在110 dB信噪比时,所需的分辨率为18位。
接下来,我们需要量化INL和THD之间的关系。为此,我们假设DAC具有弱二阶INL。它的转换函数可以用以下这个多项式表示

其中y是DAC的输出(单位:伏特),x是输入代码。第一项的系数a表示输入代码和输出电压的理想关系因数。第二项表示INL,其系数b比a小得多。使用此DAC生成余弦信号x(t) = cos(ωt),会导致在输出中

We can express the signal at the output of the DAC as
可以将DAC输出端的信号表示为

第二项现在显示第二次谐波失真(HD2)。这种关系表明,INL会对生成低失真信号产生基本限制。这一分析也适用于生成高阶谐波失真分量的高阶INL项。例如,增加幅度c的三阶非线性项,导致在信号3中:

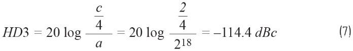
假设我们采用18位DAC(根据信噪比计算),以及2 LSB三阶INL,那么三阶谐波导致的失真预计为

这与我们优于–123 dBc的设计目标相差甚远。再增加两个位,可以将这一失真再降低12 dB,达到–126 dBc。这意味着,要实现我们的失真目标,至少需要1个具有20位分辨率的DAC。
信号产生路径的设计
要设计一个能够满足失真和噪声要求的源,首先需要几个关键组件:DAC和其基准电压电路。可以使用AD5791 20位精密DAC达成这一目标。 它的高分辨率和线性度优于1 LSB,保证在使用10 V输出电压时,能够以高准确度再现误差小于10 μV的信号电平。

图2.ADMX1002框图。
输出信号路径的简化示意图如图2所示。两个AD5791采用相反的极性来实现全差分路径,进一步提高信噪比,并从接地引起的串扰中解耦相关信号。低噪声基准电压源(例如LTC6655)和AD8676精密运算放大器结合,提供每个AD5791的高线性双极运行所需的正负基准电压电平。
由于AD5791采用高精度结构,在使用精密DAC生成信号时,遇到的常见挑战在于代码转换期间生成的毛刺能源。4毛刺会使生成的信号的时域特征变形,给DUT提供多余的能量。对于周期信号,这些毛刺会在频域中产生与基频信号音谐波相关的杂散成分。要解决这一问题,可以对毛刺能量进行滤波,这会大大降低信号带宽和源的建立时间。有一种更好的解决方案是基于采样保持电路5实施去毛刺电路,且采用低电荷模拟注入开关,例如ADG1236和AD8676运算放大器。
图3显示在使用去毛刺电路之后(顶部)和之前(底部)的10 kHz方波。底部曲线显示AD5791输出端出现的代码转换毛刺。DAC和去毛刺电路的更新速率为1 MHz。来自开关的剩余电荷注入与产生的信号不是谐波相关的,可以被输出端的重构滤波器轻松滤波。

图3.去毛刺电路操作。时间标尺:5 μs/div灵敏度:5 mV/div测量带宽:50 MHz。
从去毛刺电路生成的信号在到达输出端之前,会被一个采用ADA4945-1全差分放大器(FDA)的多级六阶低通滤波器滤波。这种高阶重构滤波器用于消除来自去毛刺电路以及超出第一个奈奎斯特区域的镜像中的剩余能量,该能量可能重新混叠到DUT的输入频谱中。6 ADA4945-1采用差分输出来满足现代ADC的输入要求。此外,每个ADA4945-1只贡献1.8 nV/√Hz噪声,通过得到保证的0.5 μV/°C失调漂移实现高精度。
数字预失真
数字预失真(DPD)技术用于尽可能降低信号路径中的分量带来的非线性度。DPD需要事先知道需要修正的误差值,以便在操作过程中从信号中减去这些误差。所以,必须首先对信号路径进行测量。
量信号路径误差时的挑战在于测量路径的失真需要低于源路径;否则,来自测量路径的误差将会增加到源中,使其性能降低。即使使用优质的ADC和放大器,这也很难实现。例如,作为一款20位ADC,LTC2378-20具有行业较高的内在线性度,可以保证±2 ppm INL,这是AD5791的INL的2倍。这意味着不可能通过简单地将转换函数的多个点数字化来测量源路径的转换函数误差。我们需要一种更好的方法。
ADMX1002采用一种专利DPD算法,提高了用于纠正源误差的测量路径的线性度。因为目标是降低正弦波形的失真,所以源会在测量阶段生成一个单频信号音。位于ADC之前的DPD检测路径增强了基于这种信号的路径的总体线性度。
利用波形的多个数字化段来重建数字域中的信号,然后与数学模型进行比较。从该操作中提取校正参数,并将其用于生成正弦波。这个过程需要进行多次迭代,以排除可能破坏结果的随机误差。一旦该算法确定了最佳校正,它会停止,并将最后一次迭代中使用的参数存储起来,用于信号生成。该算法的简化流程图如图4所示。

图4.ADMX1002中采用数字预失真产生的波形。
由于该校正特定于正在生成的信号,所以必须为具有不同幅度和频率的任何其他信号执行此分析。为了缩短在ATE系统中设置不同波形所需的时间,可以将处理后的波形数据存储在板载闪存中,以便随时调取。ADMX1002可以存储多达15种不同的波形,也包括双音或任意模式。
没有DPD的信号链的失真和噪声性能如图5的频谱所示。在同样的装置中,DPD算法的效果如图6所示,其THD总值超过–130 dBc。比起不带DPD的硬件得出的–115 dBc,实现了15 dB改善。

图5.ADMX1002的频谱,生成2 V rms,1 kHz,不带DPD。

图6.ADMX1002的频谱,生成2 V rms,1 kHz,带DPD。
除了DPD算法,幅度校正算法使用DPD检测路径来补偿重构滤波器对源路径施加的衰减。
整个系统的处理、连接和控制均是通过SoC执行的,其中包括带有Arm®核心处理器的FPGA结构。执行的任务包括:
● 波形频率合成
● 预失真算法执行
● 非易失性模式存储器管理
● 去毛刺电路的精准时间控制
● 数据流传输到数模转换器
● 模拟前端开关的控制
● 电源轨控制和排序
● 主机接口:SPI、状态、并行控制
额外的DDR3 SDRAM支持SoC处理任务,例如直接将数据流传输至数据转换器。
为系统供电
在将所有组件组合在一起时,硬件设计师始终会面临在整个系统中布设高性能电源轨的现实问题。数字组件通常需要在负载点调节多个低压电源轨,而模拟和混合信号器件需要与数字组件的功率转换适当解耦,并使用低噪声电源轨供电。为了简化这一任务,ADMX1002集成一个完整的电源子系统,由低压差(LDO)调节器和电力监控器组成,从而无需生成多个电源轨。
LDO调节器消除了来自上游开关模式电源的多余纹波,防止敏感的模拟电路拾取原本会在输出频谱中观察到的杂散。此外,SoC的关键电源轨是使用LTC2962来监控的,该器件可以生成电源良好信号,供主机系统轮询以用于诊断。总体来说,ADMX1002只需要主机提供三条大功率电源轨:+3.3 V、+9.0 V和–9.0 V。简化的电力树如图7所示。

图7.ADMX1002电力树。
使用LTM8049之后,从正极电源轨(例如计算机测试系统中的常用电源轨+12 V)生成低噪声±9.0 V电源轨的操作会很简单,无需使用外部磁性组件或复杂的布局。同样,可以使用LTM8063将电压从+12 V降低至+3.3 V。可以使用额外的LDO稳压器(例如ADM7172-3.3、LT1965和LT3015)确保纹波电流不会流入紧凑型ADMX1002中,保持干净的输出频谱。该配置如图8中的框图所示,在EVAL-ADMX1002FMCZ评估板得到采用。

图8.EVAL-ADMX100XFMCZ电力树。
结论
本文证实,利用精心设计的信号路径和信号处理技术,可以满足对ADC和音频测试的要求。要实现这一目标,需要使用高分辨率DAC,注意确保没有毛刺进入输出,并实施带有低失真放大器的重构滤波器。通过实施利用混合信号算法优化的数字反馈路径,可以进一步改善性能,以实现准确的信号重构。此外,可以通过一种创新的数字预失真算法提取谐波失真信息,用于合成波形,以补偿源路径中的失真。
参考资料
1 Patrick Butler,“近乎完美的DDS正弦波信号音生成器。”ADI公司,2019年12月。
2 Walt Kester,“MT-001教程:揭开一个公式(SNR = 6.02 N + 1.76 dB)的神秘面纱,以及为什么我们要予以关注。”(ADI公司,2009年)
3 Behzad Razavi,《射频微电子学》,第2版。2011年9月。
4 Miguel Usach和Martina Mincica,“AN-1444应用笔记:精密DAC连续更新需考虑的二阶效应。”ADI公司,2017年1月。
5“MT-090教程:采样保持放大器。”(ADI公司,2009年)
6“为何DDS需要配备重构滤波器?”Analog Devices, Inc.
Brandon、David和Ken Gentile,“AN-837:基于DDS的时钟抖动性能与DAC重构滤波器性能的关系。”ADI公司,2006年12月。
Kester, Walt.“MT-003教程:了解SINAD、ENOB、SNR、THD、THD + N、SFDR,不在本底噪声中迷失。”(ADI公司,2009年)
Kester, Walt.“MT-017教程:过采样插值DAC。”(ADI公司,2009年)
审核编辑:汤梓红
龙腾半导体SGT MOSFET LSGT085R018在智慧农业无